BTS Navigation Bar

NTL Menu


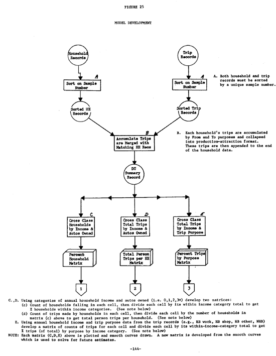
Trip Generation Analysis - August 1975




Click HERE for graphic.











                           TRIP GENERATION ANALYSIS



                                  August 1975



                       U.S. DEPARTMENT OF TRANSPORTATION

                        Federal Highway Administration

                            Urban Planning Division



                 For sale by the Superintendent of Documents,

                        U.S. Government Printing Office

                     Washington, D.C. 20402 - Price $2.30

                         Stock Number 050-001-00101-2











                                    PREFACE





There is currently a significant amount of work being accomplished

relative to travel demand forecasting.  Much of this work is aimed

toward single models encompassing the current trip generation, trip

distribution and mode split model approaches.  Most of the activity

considers disaggregate model formulations advantageous relative to

the current basic use of aggregate analysis.  The research

activities in demand forecasting are looking towards improved

operationally tested models.



For the next few years at least, the currently applied methods for

trip generation, trip distribution and modal split will provide the

necessary tools for policy planning, alternate systems planning and

project planning.  A considerable amount of research and

development has already taken place in the development of models

currently in use and in many cases very specific recommendations

can be made relative to approach and values for a particular

application.



The purpose of trip generation analysis is to provide the means for

relating the number of trips to and from activities in an area to

the land use and socioeconomic characteristics of the activities

measured in terms of land use intensity, character of the

activities and location within the urban environment.  The study of

trip generation attempts to identify and quantify the trip ends

related to various urban activity without describing other trip

characteristics such as direction, length or duration.  Usually,

the interest is in trips per average weekday, but may be for

weekend or special purpose travel.



Almost all currently applied trip generation analysis can be

categorized as described below:



      (1)  Relating trip ends to land use and socioeconomic

           characteristics through regression analysis.



      (2)  Relating trip ends to land area, floor area or other use

           measures such as employment through trip rates.



      (3)  Classifying trip ends by characteristics of the analysis

           unit generally referred to as cross-classification

           analysis.



Although no general theory of trip generation for current

application in an operational framework has emerged, enough work

has been accomplished to allow the presentation of a recommended

approach to trip generation analysis.



The purpose of this document is to provide a step-by-step approach

to trip generation analysis which should be pertinent in many

current urban studies.  The approach is straightforward, is based

upon logic and common sense, is more easily monitored and can be

updated with more efficient use of survey and secondary source

data, is easily understood by the administrator and the public and

allows application to the various areal units required for

regional, corridor and small area study.  The approach is based

upon cross classification for residential trip generation and upon

rates for non-residential generation.



The procedures and suggestions contained in this manual reflect the

current views and ideas of the Urban Planning Division, Office of

Highway Planning.  Preparation of the text for publication, except

for revisions and final editing, was accomplished under contract

with the Comsis Corporation, Wheaton, Maryland.







                                   CONTENTS

                                                                         Page



PREFACE                                                                     i



LIST OF FIGURES AND TABLES                                                 vi



CHAPTER I - INTRODUCTION TO TRIP GENERATION                                 1



      DEFINITION AND GENERAL DESCRIPTION                                    1



      TRIP GENERATION IN TODAY'S TRANSPORTATION PLANNING PROCESS            2

           Regional Study                                                   2

           Corridor and Small Area Study                                    5

           Special generators                                               6

           New development evaluation                                       8



      BASIC TRIP GENERATION CONSIDERATIONS                                  9

           Intensity of Land Use                                           10

           Character of Land Use                                           10

           Location of Land Use Activity                                   10

           Procedures for Trip Generation                                  11

           Data Sources                                                    12

           Forecasting Land Use-Socio Economic                             13

           Characteristics



      FUTURE DIRECTION IN TRAVEL DEMAND FORECASTING                        14

           Behavioral Disaggregate approach                                14

           Travel Demand Models                                            15



CHAPTER II - A RECOMMENDED APPROACH TO TRIP GENERATION                     18



      GENERAL FORECASTING APPROACH                                         18

           Summary of Procedure                                            18

           Advantages of Approach                                          19

           Examples of Developing Rates                                    20



      RESIDENTIAL TRIP GENERATION PRODUCTIONS                              24



      DEVELOPING THE TRIP PURPOSE MODEL                                    27



      DEVELOPING A MODE CHOICE MODEL                                       29



                                      iii











                                                                         Page



      FORECASTING CAR OWNERSHIP                                            33



      FORECASTING INCOME                                                   38



      NON RESIDENTIAL TRIP GENERATION-ATTRACTIONS                          40



      APPLICATION OF SIMPLIFIED PROCEDURE                                  44



CHAPTER III - EVALUATION OF TRIP GENERATION RESULTS                        49



      REASONABLENESS CHECKS                                                49



      STATISTICAL EVALUATION                                               53



      TIM STABILITY OF GENERATION VALUES                                   54



      CHAPTER IV - ADDITIONAL CONSIDERATIONS                               56



      FORECASTING REQUIRED CHARACTERISTICS                                 56



      CONTROLS                                                             57

           Parking Availability                                            58

           Adjustment for Under-reporting                                  58



      EXTERNAL TRIP FORECASTING                                            60



      TRUCK AND TAXI TRIP FORECASTING                                      62

      COMPLETE SYNTHESIS OF TRAVEL                                         63



CHAPTER V - MONITORING AND SURVEILLANCE FOR TRIP GENERATION                66



      DATA REQUIREMENTS                                                    66



      CHECKS TO BE CONSIDERED                                              68



                                      iv





                                                                         Page



APPENDIX A - FORECASTING INCOME                                            71



APPENDIX B - A COMPENDIUM OF HOUSEHOLD TRIP GENERATION RATES AND

                        INCOME/AUTO OWNERSHIP RELATIONSHIPS                83



APPENDIX C - TRAVEL FORECASTING                                           137



APPENDIX D - FLOW CHARTS OF PRACTICAL APPLICATION

                     OF TRIP GENERATION                                   143



REFERENCES                                                                147



                                       v



                          LIST OF FIGURES AND TABLES



      Figure           Page



      1.   The Continuing Urban Transportation Planning Process             3



      2.   Plotting Cross Classification Results                           22



      3.   Analysis of Person Trips per D.U. by Income Level and

           Auto Ownership - Wichita Falls Urban Transportation Study       27



      4.   Analysis of Person Trips by Purpose According to Income

           Level-Wichita Falls Urban Transportation Study                  28



      5.   Example of Purpose Stratification by Car Ownership              29



      6.   Location of Modal Split with Respect to Trip Generation

           Analysis in the Transportation Planning Process                 30



      7.   Illustration of Curves for Percent Transit Trips                31



      8.   Analysis of Person Trips and Auto Driver Trips by Purpose

           According to Income Level--Wichita Falls, Texas Example         32



      9.   Example of Car Ownership Distributions                          36



      10.  Example of Average Car Ownership Curve for Providence,

           Rhode Island                                                    35



      11.  Car Ownership Model-Charlotte Mecklenburg Transportation

           Study                                                           39



      12.   Example of Trip Production Procedure                           45



      13.  Illustration of the Shape of Distributions for Cross

           Classification Cell Values                                      51



                                      vi





Figure                                                                   Page



      14.  Plot of Observed vs.  Estimated Values of the Dependent

           Variable--Total Trip Production by Zone                         52



      15.  Distribution of Traffic Approaching a Typical

           Metropolitan Area of One Million Population                     61



      16.  Distribution of Traffic Approaching Cities of Various

           Sizes                                                           61



      17.  Distribution of Families by Total Family Income in

           Constant 1971 Dollars                                           74



      18.  Adjustment of 1960 Current Dollars to 1970 Constant

           Dollars                                                         76



      19.  1990 Income Distribution Forecast (1970 Dollars)                80



      20.  Income Distribution by Tract in Low, Medium, and High

           Income Ranges                                                   82



      21.  Automobile Ownership vs. Household Income                      138



      22.  Distribution of Income vs. Accumulative

                 Percent of Households                                    139



      23.  Percent Household Matrix                                       140



      24.  Vehicle Miles of Travel Per Household by

                 Income and Car Ownership                                 141



      25.  Model Development                                              144



      26.  Model Application                                              145





      Table



      1.   Example of Household Data for Cross Classification              21



      2.   Example of Matrix for Cross Classification                      22



      3.   Example of Trips/Household for Cross Classification             22



                                      vii











Table                                                                    Page



      4.   Example Data for Rate Development                               23



      5.   Matrix Suggested for Total Person Trip

                 Productions per Household                                 25



      6.   Sample Trip Rates for Wichita Falls, Texas                      26



      7.   Percent Trip Distribution by Purpose---Wichita Falls

           Urban Transportation Study                                      28



      8.   Illustration of Matrix for Percent Transit Trips                31



      9.   Mode Choice Estimating--Illustration Using Car Ownership        34



      10.  Example of Cross Classification Matrix for Car Ownership        35



      11.  Household Observations by Autos Owned--Example for

           Wichita Falls, Texas                                            37



      12.  Example of Procedure for Trip Attraction Estimates              41



      13.  Example of Trip Attraction Procedure for Metropolitan

           Washington Council of Governments                               43



      14.  Summary of Areawide Totals of Typical Socio-Economic and

           Land Use Data--A Hypothetical Example                           59



      15.  Example of Average Truck-Taxi Trip Rates                        63



      16.  Outline of Simulation Procedure                                 64



      17.  Example Table in OBERS Projections                              73



      18.  Example Data-Income Forecasting                                 75



      19.  Consumer Price Index (1971=100)                                 77



      20.  Income Forecasting-Adjustment for Cost of Living 1960 to

           1970 Dollars                                                    78



                                     viii











Table                                                                    Page



      21.  1990 Income Calculation                                         79



      22.  Income/Auto Ownership Relationships-Cities Sorted by

           Population and Density                                          97



                                      ix







                                   CHAPTER I

                        INTRODUCTION TO TRIP GENERATION



DEFINITION AND GENERAL DESCRIPTION



Trip generation provides the linkage between land use and travel. 

Trip generation may be separated into two phases.  In the first, an

understanding and quantification of the travel-land use linkage is

developed.  In the second phase, the results of the quantification

are applied to forecasted land use characteristics to develop

future travel estimates.



For trip generation purposes travel is considered in terms of trip

ends.  That is, the number of trips.  It does not consider their

other characteristics such as direction, length or duration.  The

trips considered are usually those generated for an average weekday

but they may also be for weekend travel, for a particular trip

purpose, by mode of travel or other stratification required for a

specific analysis or forecasting purpose.  Trip ends may be in

terms of origins and destinations or in terms of productions and

attractions dependent upon the purpose of the forecast and the

subsequent models to be used for trip distribution and modal

choice.



Land use for trip generation purposes is usually described in terms

of land use intensity, character of' the land use activities, and

location within the urban environment.  These measures, described

in greater detail. later in this chapter, are input to trip

generation.  Initially the land use and travel are linked for some

measured current period utilizing techniques such as cross

classification, trip rates or regression analysis.  These

relationships are then utilized and applied to forecasts of land

use to develop future travel.



Early travel forecasts utilized the results of origin/destination

studies to describe existing travel patterns in the form of tables

of trip origin and destination and by "desire lines" to indicate

the major trip movements.  This data was often extended into the

future by some form of extrapolation.  In the early 1950's

analytical techniques were developed to quantify urban trip volumes

in terms of measurable land use and socio -



                                     - 1 -











economic characteristics of the people making trips.  Trip

generation rates were developed from the O-D surveys and land use

data and applied to a land use plan for the forecast year.  In the

late 1950's and early 1960's regression techniques which developed

equations relating trips to land use and socioeconomic character-

istics found favor and were widely applied.  The relative ease with

which many variables could be considered often resulted in

equations that could not be easily understood, that were often

misinterpreted, that could not easily be monitored and updated and

that required forecasts of characteristics which could not be

forecasted with acceptable degrees of confidence.  However, much

was accomplished through regression analysis in gaining basic

insight into travel and providing background to further

development.



In the last few years a shift in emphasis from aggregated zonal

analysis utilizing regression procedures to a disaggregated

household cross classification approach also often termed category

analysis has occurred.  This latter work has the advantages of:



           -     making efficient use of survey information

           -     being valid in forecasting as well as in the base

                 year

           -     being easily monitored and updated

           -     being straightforward and understandable



Sufficient work has already been accomplished in trip generation

analysis to allow the presentation of a step-by-step approach for

consideration in urban study applications.*





          TRIP GENERATION IN TODAY'S TRANSPORTATION PLANNING PROCESS



Regional Study



Trip generation plays a role in many phases of transportation

planning and traffic engineering related activities.  The

continuing urban transportation planning process depicted in Figure

1 generally is based on a comprehensive study of an urbanized area. 

The overall technical process includes the major phases of (1)

formulation of goals and objectives; (2) organization for the

process and the assembling of data; (3) analysis of current

conditions including the calibration of models; (4) areawide

___________________________



 *    While this publication suggests a simplified approach,

      alternative methods of trip generation analysis were treated

      equally in "Guidelines for Trip Generation Analysis" (13).



                                     - 2 -





Click HERE for graphic.





                                  FIGURE I-1

             THE CONTINUING URBAN TRANSPORTATION PLANNING PROCESS



                                     - 3 -











forecasts of future conditions; (5) the analysis of future

alternative systems; (6) the continuing elements of surveillance,

reappraisal, procedural development, service and annual report. 

The models developed and applied usually include those for land

use, trip generation, trip distribution, modal split and traffic

assignment.  Population and economic studies are used to develop

input to land use models in terms of the magnitude of population,

employment and other economic characteristics.  Land use models are

used to determine where the activities will be located throughout

the region and provide input to trip generation models which are

used to predict the number of trips the activities will generate. 

Trip distribution models take the output of trips to and from the

land use activities produced by the trip generation model and

determine their spatial orientation-or where the trips will go. 

These trip interchanges are usually input to a modal choice model

which determines how much of each trip interchange will be by each

of the modes considered.  The assignment process then determines

the loading of the highway and mass transportation facility

segments resulting from the trip interchange desires.'



For regional study, the broad range of land use and related social-

economic characteristics must be considered in the base year trip

generation analysis and in application of the trip generation

relationships to forecasted activities.  Trip generation analysis

usually is stratified into two components:



           -     trip generation at the household level

           -     trip generation at the non-residential level



At the household level, characteristics usually considered, for

trip-generation include car ownership, income, density of

development and household size.  The household generation results

generally are used as a "control" on the total of non-residential

generation which usually considers characteristics such as

employment, type of land use (retail, office, etc.), and type of

area (CBD, suburban, shopping center, etc.). "Special generators"

such as the airports and stadiums are usually separately handled

from the rest of-the analysis because of their unique travel

generating characteristics.



                                     - 4 -











Of necessity, regional trip generation analysis is broad in nature

considering the full range of travel and land use activities.  The

trips analyzed are usually for an average weekday with statistics

developed on a zonal level for input to subsequent models.



The continuing transportation planning process requires adequate

monitoring and updating of trip generation relationships when

sufficient change warrants.  Since trip generation provides the

linkage between land use and travel, it is important that the

relationships established be evaluated periodically for stability

and applicability.  Likewise, changes in land use and socio--

economic characteristics must be monitored on a continuing basis to

evaluate changes in trip generation from the most current

forecasts.  To accomplish this, selected land use and social-

economic data must be maintained through an on-going surveillance

program to assure the ability to evaluate, and if necessary, update

previous forecasts through a routine review process.



Corridor and Small Area Study



The transportation planning process has seen a shift in emphasis

from long range plan development to short range planning and the

evaluation of specific corridor needs, special detailed area study

and other service functions.  There has been a demonstrated need

for the incorporation of policy sensitive factors in the estimation

process with the corresponding need to increase the sensitivity of

the modeling process to "current" problems.  Examples of these more

current problems are:



           -     Evaluation of transportation demand resulting from

                 redevelopment or rezoning an area within a city.

           -     Determining the impact of a new office building

                 complex on the surrounding system.

           -     Detailed evaluation of alternate highway

                 configurations, ramp spacing locations, etc.

           -     Evaluation of alternate modes for a heavy demand

                 corridor.



                                     - 5 -



There has been considerable study of sub-areas and corridors in the

past, generally based upon regional level analysis.  As the shift

to shorter range detailed area study progresses there will, of

necessity, be requirements for trip generation at a more detailed

level of application.  Much of the increased interest in small area

detailed study appears to be from counties, cities and towns within

regional transportation study boundaries.



There is much interest at this level of government to study in

detail the transportation implication of the regional systems being

developed in their areas.  Many regional studies have already

geared up to support these local applications through providing

data, computer support, and technical know-how.



Trip generation analysis for corridor planning must be accomplished

at a finer level of detail than generally used for regional study. 

This is based upon the requirement for traffic assignments to be

made to more detailed networks utilizing smaller zones.  The choice

of technique used for trip generation on the regionwide basis has

an impact in corridor and sub-area study.  Generation analysis at a

zonal level for the residential analysis will usually result in

problems in application to zone sizes different from the zone sizes

used for relationship development, especially when regression

techniques are used.  Disaggregate analysis such as that

accomplished with cross-classification at the household level will

produce results which can be applied at any level for which land

use and related characteristics can be developed.  Likewise, at the

non-residential end, sufficient disaggregation is desirable to

allow a detailed accounting for the specialized land uses in the

area of study.  Usually, a rate approach with specialized handling

of major generators can provide the required level of detail.  It

has been found that a high proportion of trips in an area are

attracted to a small portion of the land.  The following sections

discuss special generators and new development evaluation.



Special Generators



Regionwide trip generation analysis must of necessity be somewhat

general in the treatment of the wide diversity of land uses in an

urbanized area.  There



                                     - 6 -



are specific generators which are of sufficient size and perhaps

unique in their trip generation characteristics to warrant special

consideration in the trip generation analysis and forecasts Such

generators might include airports, sports stadiums, hospitals, army

bases, and large regional shopping centers.  These land uses are

generally handled separately from the regionwide analysis, and the

results merged together prior to trip distribution in the

forecasting process.  In addition to the development of trip

generation rates for specific sites for merging into regional

forecasts of travel, site analysis is of considerable use in the

assessment of impacts of-new developments on the current

transportation system and in the determination of improvements to

the highway and mass transit system to serve new developments on a

short range basis.  This use is further discussed in the next

section.



Most trip generation analysis for regionwide application has relied

on trip information collected in a home interview survey with the

land use and non-residential socioeconomic characteristics obtained

from field surveys and secondary sources.  For example, work trip

generation at the work place is usually based upon employment, with

the trips accumulated at the work place from a sample survey

collected at the home.  There have been studies which have

supported this approach and others which have recommended that site

collected trip data is more appropriate for such analysis.  For

regionwide analysis aimed at total systems planning, the home

interview survey data should be sufficient for analysis at the non-

home end.  Where appropriate, special sites should be evaluated

through trip data collected at the site.  For impact analysis,

corridor and small area studies, site analysis and the other phases

of the continuing planning process, better information on the

generation of travel can be obtained by collecting both trip and

land use information at the site rather than relying on home

interview data.  Such an approach can be established as a

continuous monitoring process possibly eliminating the need for

additional home interview data.



Major generators are relatively few in number in most urbanized

areas.  Concentrating data collection and analysis on the few major

generators, should provide more accurate estimates than using the

same resources to thinly cover all areas.  It is recommended that

the



                                      -7-







base trip data used for trip generation (usually home interview

data) be supplemented with more specific information for the few

sites requiring more detailed data and analysis.  In base year

model development site analysis is useful to improve the accuracy

of nonresidential trip generation estimates.  In the continuing

phases of regionwide study collection of travel information at

selected sites can supply much of the necessary update information. 

Such data with perhaps very small home interview sample updates can

provide the framework for the continuing trip generation analysis. 

Consideration should also be given to "borrowing" the needed rates. 

See the next section for references.



New Development Evaluation



Trip generation is important to the traffic engineer in considering

the impact of a new office complex, shopping center or residential

development.  Of interest at this level is the amount of traffic a

new development will generate, the necessary upgrading or

improvement to existing facilities, traffic control requirements

and any new connecting facilities required.  For these purposes

trip generation is obviously most pertinent relative to traffic at

a specific land use activity.  The range of specific activities mig

include:



                 Shopping centers

                       Regional Shopping Centers

                       Community Shopping Centers

                       Neighborhood Shopping Centers

                       Free Standing Discount Stores

                       Strip Commercial Areas

                 

                 Residential developments

                       Subdivisions

                       Apartments

                       Mobile home parks

                       High rise apartments

                       Retirement communities

                 

                 Industrial developments

                       Industrial parks

                       Warehousing

                       General Industry

                 

                 Office Buildings

                 Doctors Clinics

                 Trucks and Rail Terminals

                 Hospitals



                                       8



                 Colleges

                 High Schools

                 Elementary Schools

                 Civic Centers

                 Libraries

                 Airports

                 Theaters

                 Hotels

                 Parks



Data for this type of trip generation analysis is also more

specific than required for regionwide transportation forecasting. 

Sites are chosen for study which are expected to be representative

of the proposed development.  Traffic counts are made at all

entrances to and exits from the sites chosen for analysis.  These

are usually made over perhaps a week.  In addition to counts,

background information on the site is compiled in order to develop

the required traffic generation rates.  This background data might

include dwelling units, aircraft off and on passenger loadings,

number of employees, residing doctors, etc.  Two rather complete

documents containing trip generation rates by specific site types

for regions of the United States are:Volume XV Travel Generation

prepared by the National Association of County Engineers and Trip

Generation by Land Use Part I, A Summary of Studies Conducted

prepared b the Maricopa Association of Governments (1,2).  An

Institute of Traffic Engineers Technical Committee is currently

Compiling and analyzing rates from studies around the country in an

on going study and results should be available mid 1975 (16). 

Rates from sources such as these can be very useful in providing a

ready reference to estimating the probable impact of a pro-posed

activity.



BASIC TRIP GENERATION CONSIDERATIONS



The goal of trip generation model development is to establish a

functional relationship between travel and the land use and

socioeconomic characteristics of the units to and from which the

travel is made.  A causal relationship is desired in which the

following types of questions are answered:



      -    What is the difference in trip making between a family

           living in a high rise apartment close to the central

           business district and a similar family living in a single

           family home in the suburbs?

      -    What is the difference in trips to a 50 store shopping

           center serving a suburban area as compared to 50 stores

           of a similar size and nature located in a central

           business area?



                                     - 9 -











Questions of the above nature can be considered in terms of

intensity of land use, the character of the land use and its

location within the urban environment.



Intensity of Land Use



Intensity of land use is the amount of activity to be found in a

given areal unit (i.e. zone) and is usually stated in terms of a

density measure such as employees per square foot of floor area or

acre of some specific land use category, or dwelling units per

acre.  As an example, the number of trips per dwelling unit

generally decreases as the number of dwelling units per residential

acre increases.  High rise apartments (dense) and other dense

residential developments are usually within walking distance of

many services, thus alleviating the need for a vehicular trip. 

When residential density is low (perhaps less than 10 dwelling

units per acre) trip rates are high since almost all trips must be

made by vehicle.



Character of Land Use



Land use intensity measures are usually not sufficient in

themselves for trip generation relationship development.  There is

additional variation in travel that is accounted for by variables

that may be termed the "character" of land use.  On a household

level, character is expressed in socioeconomic terms such-as family

income and car ownership.  With all other conditions the same,

families with higher incomes generally own more automobiles and

make more trips.  Low income families often own no cars, rely on

public transportation and walking and thus exhibit low vehicular

trip making potential.  The higher trip making families usually

show increases in shopping and social-recreational trips with trips

for work remaining relatively stable.



For non-residential land uses character is usually reflected in the

type of activity (e.g., manufacturing, retail, commercial).



Location of Land Use Activity



This factor relates to the spatial distribution of land uses and

land use activities within a study area.  The location of

residential land is important as may be shown by the higher trip

rates of a high rise complex in the suburbs versus rates for a

similar complex in



                                    - 10 -











the CBD.  Likewise, a department store in the CBD with the same

floor space, number of customers, same merchandise, etc, as one in

the suburbs would have a lower "trip" generation rate since many

customers walk to the store.



It is difficult to separate the individual effects of intensity,

character, and location.  Each type of variable explains some of

the variation in trip making.  These types of variables are used in

trip generation model development regardless of the type of

analysis used-cross-classification, regression analysis or rate

development.



Procedures for Trip Generation



Cross-classification is a technique in which the change in one

variable (trips) can be measured when the changes in two or more

other variables (land use-socio-economic) are accounted for.  Cross

classification is not heavily dependent upon assumed distributions

of the underlying data and, as such, is some times referred to as a

"nonparametric" or distribution free technique.  Basically, the

technique stratifies 'In" independent variables into two or more

appropriate groups, creating an n-dimensional matrix.  Observations

on the dependent variable are then allocated to the cells of the

matrix, based on values of the several independent variables and

then averaged.



The land activity rate approach is based upon the development of

rates in which trips are related to land use characteristics

reflecting the character. location and intensity of land use.  The

method may also be considered a type of cross-classification

analysis.



Non-residential trip generation is usually based upon an initial

stratification of trip data by trip purpose and attraction

variables considered most pertinent.  For example, work trip rates

may be based upon total employment, school trips on school

enrollment and shop trips on retail sales.  The rates should

further be stratified by land use density or categories within an

activity type (e.g., regional shopping center, CBD or strip

commercial).  The rates developed are strictly ratios between trips

and the variable chosen such as trips/employee or trips/student. 

The data used is usually aggregate data summarized to some

multizonal system.



                                    - 11 -











Details of regression analysis can be found in "Guidelines for Trip

Generation Analysis" (13).  In summary, the regression process

consists of developing equations in which trips or a trip rate

(i.e., trips/household) is related to independent variables which

explain the variation in the dependent variable (trips or trip

rate).  The equations are usually developed by trip purpose and

generally are based on data aggregated to the zone level as

observations.  Although regression is a linear technique fitting

straight lines through data, transformations of variables into log

functions, taking reciprocals etc., can be made resulting in

curvilinear representations.



The important statistics used in evaluating the equations developed

include: the multiple correlation coefficient which indicates the

degree of association between the independent and dependent

variables in the equation: and the standard error of estimate which

indicates the degree of variation on the data about the regression

line established.  A statistics text should be referred to if

further detail on regression and correlation analysis is required

(3).



Regression analysis has been an important tool in trip generation

analysis.  A wealth of understanding of travel has resulted from

application of the technique and most transportation studies

undertaken in the 1960's relied on the technique.  The procedure

has good applicability to some current planning problems which will

be discussed later in this document.  However., based upon the

regression analysis of the past and current work using cross-

classification and rate analysis, it appears that more efficient

and straightforward trip generation procedures can now be

recommended.



Data Sources



The basic data source for trip generation analysis has been the

home interview survey.  Within this one survey most, if not all, of

both the travel and land use-socioeconomic factors can be obtained

for relationship development at the residential end.  It is at the

residential end that the home interview survey is most useful since

it is here that the sample is selected, data collected and the

survey is most accurate.  Non-residential trips may be accumulated

from the home interview survey and related to non-residential land

use characteristics.  The trips to this land from the home

interview are less stable since the accumulation at the non-home

end is a rare attribute with respect to each dwelling unit within a

study area.  It is expected, however, that for general land uses

such as office buildings, the accumulations from a home-interview

survey are suitable.



                                    - 12 -





Other sources should, however, be considered and used where

desirable.  For example, special surveys of transit travel, i.e. on

board surveys, should be considered to supplement the dwelling unit

survey when samples of transit trips are scarce.  Special

generators should be studied utilizing on the ground surveys where

actual counts are made of trips to the generator.



Forecasting Land Use-Socio Economic Characteristics



It must be kept in mind that the purpose of the trip generation

estimating procedure is to forecast future travel based upon

forecasts of land use and socioeconomic characteristics.  The trip

generation estimating procedure is therefore, only as good as the

quality of the future estimates of land use and socioeconomic

characteristics.  The analyst should be sure not to become so

involved in the analytical techniques used for developing the trip

generation relationships that the goal of meaningful forecasts is

lost.  Great care must be exercised in the selection of

characteristics to include in the relationships developed, keeping

in mind the two important factors of: a) ability to forecast; b)

the contribution provided in the trip generation relationship. 

These are sometimes at odds and a careful evaluation is required.



Some other factors to be considered are: an evaluation of the trip

growth rates as expressed by application of future land use and

socioeconomic characteristics for reasonableness; the development

of control totals on an area wide basis for trip production and

attraction to allow evaluation of possible changes in trip

generation characteristics or further analysis of land use.



The land use and socioeconomic characteristics to be included in

the relationships developed should reflect changing conditions. 

For example, dwelling units per acre or total dwelling units for

the analysis unit might be chosen rather than net residential

acreage in order to reflect changing intensity.



Land use and social-economic forecasting for transportation

planning is usually a two step process in which total study area or

regional forecasts are first made for the entire area for

characteristics such as population, employment, income and car

ownership,



                                    - 13 -



and the areawide forecasts are then allocated to small areas (i.e.,

zones) within the area.  Common methods for population forecasts

for an entire area include trend based methods, ratio methods

(based on relationships of population growth in one area to that of

other areas) and component methods (based on analyses of net

migration and natural population increase).  Economic activities

projections have been based on trend line projection, input-output

models, sector analysis, etc.



In allocating regional forecasts to sub-areas a number of models

have been developed.  Most areas have used and still use judgement

or trend analysis.  Of the land use models currently in use,

residential models are the most advanced.



A discussion of the several models finding application in land use

forecasting is contained in the Federal Highway administration

report An Introduction to Urban Development Models and Their Use in

Urban Transportation Planning (4).



FUTURE DIRECTION IN TRAVEL DEMAND FORECASTING



Behavioral Disaggregate Approach



A considerable amount of research and application of techniques has

been undertaken over the last decade in travel demand forecasting. 

The current research and direction in demand forecasting should

result in considerable improvement in forecasting.  This section

will describe some of the current thinking in the area of improved

travel demand forecasting techniques.



The basic difference between aggregate and disaggregate estimation

generally is in data efficiency.  An aggregate model is usually

based upon home interview origin destination data that have been

aggregated into units (e.g., zones) and average values developed as

parameters for model development.  Disaggregate modelling relies on

samples over a range of household types and travel behavior and

uses these observations directly (without aggregation) for model

calibration.



The advantages of behavioral disaggregate models include:



           -     savings in data required to calibrate models



                                    - 14 -









           -     transferability to different situations such as

                 regional analysis and detailed corridor analysis

           -     transferability between cities ability to express

                 non-linear relationships which are often lost in the

                 case of aggregate analysis

           -     ability of more rapid data evaluation and analysis

                 and development of relationships in a more timely

                 fashion

           -     more easily understood

           -     more efficient monitoring and updating



In a behavioral disaggregate model approach to trip generation,

observations of the behavior of individuals (households) are used

directly for estimation.  This is in contrast to the aggregate

approach which has generally been used (zonal estimates) where

observations for households are combined and then used for

estimation.  Behavioral models are formulations in which estimation

"is directed at capturing elements of travel makers' decision

processes and forecasting becomes an application of the derived

parameters to new sets of information about the independent

variables."



In the regression approach to trip generation widely used in the

past, hypotheses about the association between socioeconomic

variables and trip making are compared with regression results to

indicate the validity of the developed model.  Statistical

goodness-of-fit measures are used to measure goodness of fit in an

effort to provide a close replication of base year data.



Behavioral models attempt to replicate portions of the traveller's

decision making process.  These decisions may either have a

significant impact on travel choice or may be relevant to some

specific issue(s) which must be addressed by the model forecasts.



Travel Demand Models



Current transportation planning models usually consist of a

sequential set of steps from trip generation through trip

distribution, modal split and traffic assignment.  The formulation

of models is associative in that for trip generation as an example,

hypotheses concerning association between travel and land use and



                                    - 15 -



socio-economic variables are generally compared through regression. 

Goodness-of-fit statistics are used in trying to provide a

replication of base year data under the assumption that similar

fits are obtained in future year application.  The current models

are usually somewhat choice abstract in that attributes of the

transportation system are handled independently of a given mode's

attributes.  The analysis is usually of an aggregate nature in that

model development is based upon zonal averages of travel and land

use characteristics.  The models currently used are generally

deterministic in that they output "single value" predictions rather

than predicting each individual's probability of choosing a

destination, mode, etc. (probabilistic) (5).



Within the last few years there has been increasing activity in the

developing of overall demand models incorporating trip generation,

trip distribution and modal split into a single estimation process. 

It appears that much future research and development will be aimed

at total-demand models.  These direct demand models tend to be

behavioral in that the model includes traveler decision processes

which have a significant impact on travel choices and/or are

relevant to specific issues which must be addressed by the model

forecasts.  These next generation models may be sequential or

simultaneous in nature considering a number of decisions such as

whether or not a trip is to be made, which destination to travel

to, which mode to select and what path to take.  The models will

tend to be disaggregate in nature and will tend toward

probabilistic structures in which each individuals probability of

taking a trip, selecting a mode, selecting a destination, etc.,

will be considered.  The models will also tend toward choice

specific representations in which specific attributes of the

transportation mode(s) being considered are represented.



A conference conducted jointly by the Highway Research Board and

the U.S. Department of Transportation at Williamsburg, Virginia in

December 1972, addressed the entire area of urban travel demand

forecasting.  The findings of the conference were (6):



           -     travel forecasts are required for informed

                 transportation decision-making



                                    - 16 -



           -     improvements are needed

           -     information is now available that can be used to

                 achieve immediate improvements in operational

                 capabilities (approximately in a 1-3 year time

                 frame)

           -     a repertory of improved methods should be developed

           -     substantial improvements in forecasting capabilities

                 can be achieved in the future (perhaps in a 5-10

                 year time frame)

           -     improved information dissemination and training are

                 needed



There is no question that improvements in demand forecasting will

be continuously made.  Much of the change is probably far enough

off in the future to discourage serious consideration in practical

application over the next few years.  The sequential application of

trip generation, trip distribution, mode choice and traffic

assignment will still provide the needed tools for some years to

come.  However, newer improved methods which can be implemented

within this modelling framework deserve strong consideration. 

Disaggregate trip generation techniques using cross classification

analysis can be applied with today's methodology and provide

significant advantages over aggregate methods.  For this reason,

use of the approach deserves serious consideration by the

transportation planner.



The purpose of this chapter is to provide a summary of the current

state of the art in trip generation as well as probable future

direction.  The next chapter will provide the details of a

simplified approach to trip generation analysis.



                                    - 17 -



                                  CHAPTER II

                   A RECOMMENDED APPROACH TO TRIP GENERATION



The purpose of this chapter is to describe in detail a recommended

approach to trip generation.  This recommendation is based upon the

considerable amount of research and application in the area of trip

generation over the last fifteen years.  It is believed that this

past work provides the basis for the presentation of a simple,

efficient approach.  The approach allows incorporation of policy

sensitive factors and at the same time allows development and

application in a relatively short time period and at a lesser cost

than previously applied methods.



This procedure is presented as a workable, tested trip generation

analysis method which will help reduce the expenditure of planning

resources.  Other tested options are available, such as regression

analysis and cross-classification employing different independent

variables than those recommended here.



This chapter will describe the general approach and advantages of

the approach, describe the development of a cross classification

matrix provide examples of the results of applying the recommended

approach in some selected areas and describe the application of the

developed relationships.



GENERAL FORECASTING APPROACH



Summary of Procedure



The approach for forecasting is based upon use of cross class-

ification analysis for residential trip generation and trip rates

and some modified cross classification for non-residential trip

generation.  The process is based upon developing trip productions

and trip attractions as generally used for input to the gravity

model trip distribution process.  Other trip end values such as

origins and destinations may be used with only slight variations

necessary to the described process.



The approach is based upon a control of total trips at the home

end.  The amount of home end travel generated is a function of the

number of households and the household characteristics of income

and car ownership.  This residential trip generation analysis is

based upon two basic relationships.



The first relates the percentage of households with 0, 1, 2 and 3

or more autos to household income.  The second relationship relates

person trips per household to car ownership and income.  Density of

households is also a suggested variable.



                                    - 18 -







At the non-home end, a distribution index is developed based upon

land use characteristics.  The recommended variables are the number

of employees by employment category by type of land use, school

enrollment and households.  Total regionwide trips by purpose from

an O-D survey are accumulated by land use activity type (e.g.,

residential, school, retail, etc.). The trips are then related to

an indicator of the intensity of the type of activity such as

trips/retail employee.



Advantages of Approach



The attributes of the above approach, which are attributes any good

modelling procedure should have include:

           -     Ease of understanding-government officials and the

                 public can easily grasp the idea of trips as related

                 to household characteristics and rates expressed in

                 terms of trips per employee etc.  This can be

                 contrasted with regression equations where one must

                 try to understand interrelationships, constants,

                 factors, etc.

           -     Efficient use of data - sufficient information for

                 the residential generation development is available

                 in O-D surveys, and if no current survey is

                 available, a small specially designed stratified

                 sample survey will provide sufficient data (6).  For

                 trip attractions, employment and population

                 characteristics are all that are necessary.  Site

                 analysis may be used to supplement available data.

           -     Easily monitored and updated - the form of the

                 relationship allows monitoring the trip rates

                 through small sample surveys and site analysis to

                 check particular trip rates.  When sufficient change

                 is indicated a larger updating effort might be

                 undertaken.

           -     The process is valid in forecasting as well as in

                 base year accuracy measures.

           -     The process can be made policy sensitive by intro-

                 ducing factors representing the relevant issues into

                 the cross classification procedure.  For example,

                 one can assess the impact of differing population

                 density levels through the stratification of the

                 trip rates by income, car ownership and density

                 Also., auto saturation levels can be evaluated and

                 introduced as a policy issue.



                                    - 19 -







           -     Application at differing study levels-since the

                 approach is based upon household level data for the

                 residential generation and type of land use on the

                 attraction end, the rates developed should be

                 applicable to any areal level of study.  The rates

                 developed may be applied to districts, zones,

                 subzones, for regional study, corridor study, new

                 development evaluations., etc.



           -     Transferability between areas-since the analysis is

                 based upon household data at the production end, the

                 variables used for stratification should allow

                 application in other areas.  In effect, it is easier

                 to synthesize trip generation by use of a cross

                 classification approach through its transferability

                 between different cities.  Income and auto ownership

                 have been found to be strong indicators of travel. 

                 The relationship seems to be stable from area to

                 area so that synthesis is possible.



           -     Use of census data - the socioeconomic data used for

                 the residential trip generation models are covered

                 through established census surveys.  Only the

                 results of small sample surveys would be required to

                 supplement the Census data.



Examples of Developing Rates



This section will provide examples illustrating the development of

a cross classification matrix for trip production at the household

and the development of rates for shopping trips at the attraction

end.  The purpose here is to describe the process for rate

development.  Detail discussion of the process for developing total

production, trip purpose, mode,, car ownership and attraction

relationships are provided in subsequent sections of this chapter. 

The last section of the chapter will describe application of the

procedure to a future forecast.*



The first example to be described is for the development of trips

per household stratified by car ownership and income.  Assume there

are twenty (20) households in a sample for cross classification

analysis.

___________________________



*     The description s chapter are mostly graphic and simplified

      examples.  Methods to accomplish the development and

      application of the trip generation relationships by computer

      are described in other publications (13,14)



                                    - 20 -



For each household information is available on number

of trips, income and car ownership as typically obtained from the

home interview survey, shown in Table 1.



                                    TABLE 1

              Example of Household Data for-Cross Classification



            Household        Trips      Income      Cars



                  1           2          4000       0

                  2           4          6000       0

                  3          10         17000       2

                  4           5         11000       0

                  5           5          4500       1

                  6          15         17000       3

                  7           7          9500       1

                  8           4          9000       0

                  9           6          7000       1

                 10          13         19000       3

                 11           8         18000       1

                 12           9         21000       1

                 13           9          7000       2

                 14          11         11000       2

                 15          10         11000       2

                 16          11         13000       2

                 17          12         15000       2

                 18           8         11000       1

                 19           8         13000       1

                 20           9         15000       1

           



A matrix would be established based upon cars owned and income with

the results of the analysis perhaps indicating using the groups

shown in the following Table 2. The numbers in the matrix represent

the household sample numbers shown in Table 1.



                                    - 21 -











                                    TABLE 2

                  Example of Matrix for Cross Classification



                                        Cars Owned

                                  0     1     2 or more

                       _

                       >6         1,2   5            - -

                       6-9         8    9             13

INCOME ($000'S)        9-12        4    7,18        14,15

                       12-15      - -   19,20       16,17

                       >15        - -   11,12       3,6,10





The mean of the trips for the households in each cell represented

in the above matrix would then be obtained and shown in the table

as below (Table 3).  For example, the mean trip rate for two or

more car households with incomes greater than $15,000 would be the

sum of 10,15 and 13 trips from Table 1 divided by 3 households or

12.7 trips.



                                    TABLE 3

              Example of Trips/Household for Cross Classification



                                        Cars Owned

                                  0     1     2 or more

                       _

                       >6         3.0   5.0          - -

                       6-9        4.0   6.0          9.0 

INCOME ($000'S)        9-12       5.0   7.5         10.5

                       12-15      - -   8.5         11.5

                       >15        - -   8.5         12.7



The results of the matrix would next be plotted as shown in Figure

2.





Click HERE for graphic.





      FIGURE 2     PLOTTING CROSS CLASSIFICATION RESULTS



                                    - 22 -



The data from the matrix is fit with smooth curves which may be

extended out past the data points based upon the shape of the

curves and logic.  The curve values are then used to develop a

completed matrix which is used for future trip forecasts.  An

example of the application of this type of cross classification

matrix will be described in the last section of this chapter.



To illustrate the procedure for developing land activity rates for

non-residential trip generation, the following example for shopping

trip attractions is provided.  Table 4 presents some data for shop

trips attracted to shopping sites along with other information on

type of land use.  The trip data will come from the O-D survey,

perhaps in combination with information from a site analysis on the

two largest shopping centers, for example.  Supplemental data

sources or a site analysis would supply the employment information.



                                    TABLE 4



                       Example Data for Rate Development



      Zone             Location         Retail      Shop Trip

                                                    Attractions



      1                  CBD            3000         7200

      2                  CBD            1400         2500

      3                Shop Cntr.        600         6000

      4                Shop Cntr.        200         1100

      5                Shop Cntr.       1400        14000

      6                Fringe Strip      250          900

      7                Fringe Strip      100          350

      8                Fringe Strip       75          200

      9                  Local            15           50

      10                 Local            25           70

      11                 Local            50          140

      12               Shop Cntr.        600         5500

      13               Shop Cntr.       1000        10000

      14               Fringe Strip      200           50

      15               Fringe Strip      125          600

      16                 Local            60          120

      17                 Local            40          120

      18                 Local            70          200

      19                 Local            30           85

      20                 Local            10           40



                                    - 23 -



The trip rate for the CBD would be based upon summing the employees

and the shop trip attractions for zone's 1 and 2 and dividing the

trips by the employees to develop the rate (9700/4400=2.20

trips/employee).  The results of this analysis would be:



                       Location   Shop trips/employee

                     -----------  ---------------------

                       CBD              2.20

                       Shop Center      9.79

                       Fringe Strip     3.73

                       Local            2.75



The above analysis does not have to be tied to zones as shown for

the example, but in many cases zones may be the most logical

summarization areas.



Application of these types of land activity rates will be

illustrated in the last section-of this chapter.



RESIDENTIAL TRIP GENERATION PRODUCTIONS



This section will describe the stratification suggested for

residential trip generation using the recommended cross

classification analysis in addition to providing some samples from

an operational study.



It is suggested that the variables to be used for the residential

trip generation be income and car ownership and that the trip rate

be either person trips or auto driver trips per household depending

on the approach to transit planning utilized.  For smaller cities

under about 200,000 population or where there is very minor transit

use currently and no appreciable growth is expected, the trip rate

may be auto driver trips per household.  The location of "0-Car"

households could then be utilized to define areas of high transit

potential.  As described in the section "Forecasting car

ownership", the development of households with "O" cars is an

integral part of the recommended procedure.



Table 5 shows the suggested matrix for trip productions using the

cross-classification approach.



                                    - 24 -



                                    TABLE 5



              Matrix Suggested for Total Person Trip Productions

                             Per Household





Click HERE for graphic.





The income levels are ranges of income, which may vary depending

upon the area being studied.  The standard census urban

transportation planning package provides number of households

stratified by car ownership (0, 1, 2, 3 or more) and income (7). 

The income ranges used are: under $2,000, 2-$4,000, 4-$6,000, 6-

$8,000, 8-$10,000, 10-$12,000, 12-$15,000, 15-$20,000, 20-$25,000,

and 25-$50,000.



In most areas another variable should also be considered and it is

recommended that density be used since there is a trade-off between

walking and vehicular trips when density increases which the

analyst may wish to consider.  One check to determine if additional

stratification of the income variable should be considered or other

variables considered is to evaluate the-standard deviations of the

cell trip rates.  Where the deviation is high, additional

stratification may be indicated.  The analyst should establish

evaluation criteria for determining when the standard deviation is

too high and what actions should be taken.  The types of variables

to be added might be residential density



                                    - 25 -



(dwelling units/acre), location (central city, near suburbs, far

suburbs) or persons/household.  In many cases just car ownership

and income should be sufficient.  As an example of curve

development, some sample data from Wichita Falls, Texas, population

100,000 is used in the further explanation below (21).  The trip

rates are shown stratified by income group range and autos owned in

Table 6. The rates shown are based upon areawide origin-destination

data.



                                    TABLE 6

                Sample Trip Rates for Wichita Falls, Texas (21)



                       Total Person Trips Per Household



                       Autos Owned            Average Rate

Income Group      0     1     2      3+       Per Income Group

      1          3.6   6.4   11.6   17.7             6.4

      2          4.1   9.7   12.9   18.5            10.8

      3          5.0   11.1  14.6   19.2            12.5

      4          5.4   11.4  15.6   20.1            14.2

      5          5.3   12.9  16.2   20.5            16.1





The income ranges utilized were:



Income Group     Income Range     Range Mean for Plotting



      1          $0-4999                $4,000

      2          $5,000-6999            $6,000

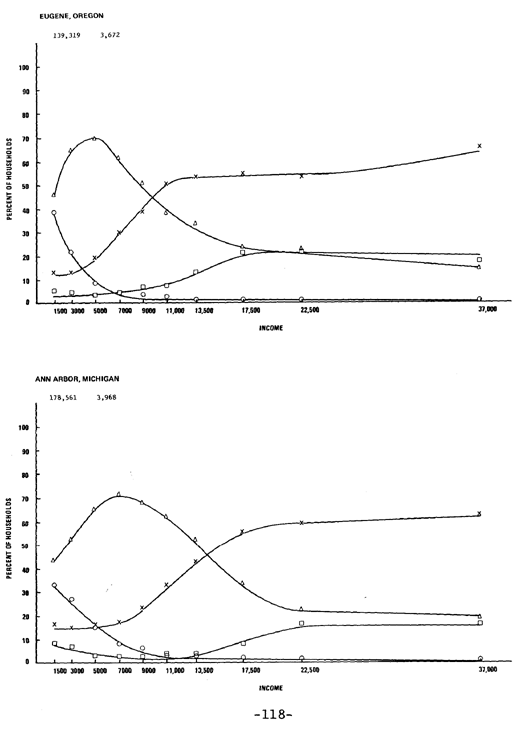
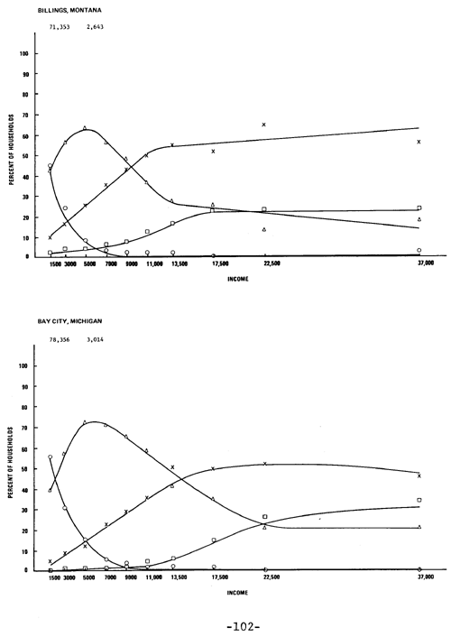
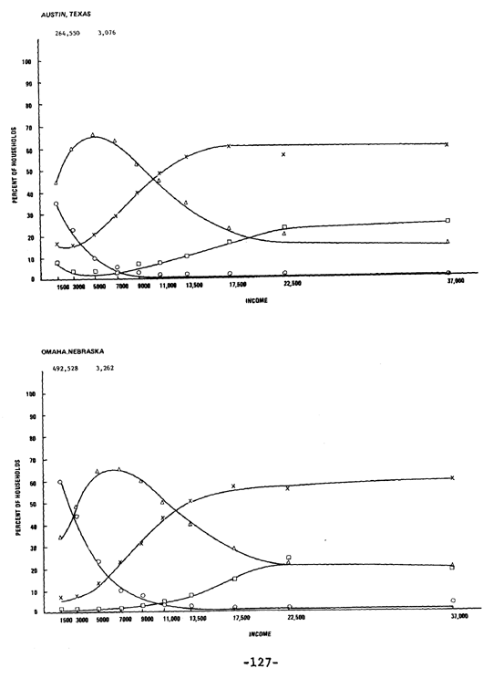
      3          $7,000-9999            $8,500

      4          $10,000-14999          $12,500

      5          $15,000 & Over         $18,000





The values from the matrix (Table 6) should-next be plotted and a

smooth curve drawn through the points as shown in Figure 3.



                                    - 26 -











Click HERE for graphic.





      FIGURE 3   WICHITA FALLS URBAN TRANSPORTATION STUDY (21)

                 ANALYSIS OF PERSON TRIPS PER D.U. BY INCOME LEVEL

                 AND AUTO OWNERSHIP



The values from the curves would then be used to forecast by

entering them at a given income value (e.g., average zonal income)

with the number of dwelling units with 0, 1, 2, and 3 or more cars

to develop the trip rates.  Some may prefer to tabulate the curve

values into a matrix before use in forecasting.



While trip generation relationships can be developed without auto

ownership estimates, it is a basic variable in the recommended

approach.  This is suggested for several reasons, among them the

built-in sensitivity of the modelling approach to auto ownership

saturation levels and the usefulness of auto ownership for

estimating transit usage.



DEVELOPING THE TRIP PURPOSE MODEL



The trip purpose stratifications are usually dictated by the trip

distribution and modal split models utilized.  For internal area

travel, the choice of purpose will vary somewhat by size of area. 

The larger studies will usually consider 5 purposes: home based

work, home based shop, home based school, home based other and non-

home based.  Taxi and truck trips must also be handled and will be

discussed in Chapter IV.  Some of the larger studies have also

broken out social-recreational travel from the "other" category and

some have separated shopping trips into "convenience" shopping

trips and "other" shopping trips.  This is usually done for trip

distribution purposes in an attempt to come closer to the basic

trip distribution characteristics.  In smaller urban areas (under

100,000 population) three trip categories have been used

successfully: (1) home based work (2) home based other and (3) non-

home based.



                                    - 27 -











The non-home based trip purpose in the household trip generation

production is used as a control on total areawide trips produced. 

The zonal non-home based productions and attractions used for the

trip distribution model input are allocated to the proper zones by

using the indices developed in the trip attraction model (see page

40 ).



For the Wichita Falls, Texas, example used previously, the three

purpose model is used.  The data are shown in Table 7. (21)



                                    TABLE 7

                     Percent Trip Distribution by Purpose

                 Wichita Falls Urban Transportation Study (21)



                                        Percent Distribution by Purpose

  Income Group                                %     %     %

                                              HBW   HBNW  NHB



      1                                       21    55    24

      2                                       15    57    25

      3                                       16    59    25

      4                                       14    60    26

      5                                       14    59    27



The number of income groups may vary by city depending upon the

range in trip rates and income.  The income grouping shown above is

only one example of a possible stratification for income.  These

data are obtained ,from the most recent O-D study.  Small sample

surveys should provide sufficient information for developing this

type of distribution.  The distribution is developed by

accumulating the number of survey trips for each purpose within

each income group and finding the percentage of the total trips

each purpose constitutes within the income group.  The distribution

can then be plotted as shown in Figure 4.





Click HERE for graphic.





      FIGURE 4   WICHITA FALLS URBAN TRANSPORTATION STUDY (21 )

                 ANALYSIS OF PERSON TRIPS By PURPOSE ACCORDING TO

                 INCOME LEVEL.



                                    - 28 -







      As an alternate approach, where survey data are not available, the

trip purpose stratification can be synthesized by using data from a

study of similar character and size.  The example, Figure 4, shows

little change in the percentage distribution of trips by purpose as

related to income.  In larger cities the differences are greater. 

As an alternate, some studies have utilized car ownership as the

variable for the purpose stratification.  An example of the use of

car ownership and the resulting distribution is shown in Figure 5.





Click HERE for graphic.





FIGURE 5.  EXAMPLE OF PURPOSE STRATIFICATION BY CAR OWNERSHIP.





DEVELOPING A MODE CHOICE MODEL



As mentioned previously, the type of trips to forecast (i.e.,

purpose, mode) is primarily related to the objectives and

requirements of the study, the size of the area involved and the

type of models to be utilized.  When considering mode choice

analysis and the implications relative to trip generation, the

basic decision is whether mode choice is accomplished before or

after trip distribution.  Sometimes, in small areas where transit

use is a very small portion of total travel and is expected to

remain so into the future, auto trips are directly estimated in the

trip generation phase.



In at least the smaller urban areas (under about 250,000

population) long range transit planning should probably be de-

emphasized in favor of short range study (e.g. 1-5 years).  This

shorter range planning is also a necessary component of

transportation planning in all urbanized areas (8).  This short



                                    - 29 -







range planning is heavily oriented toward the transportation

disadvantaged generally comprised of the young, the old, the poor,

and the handicapped.  Much of the data collected for trip

generation model development is useful for measuring travel demand

for short-range transit planning, although it must be supplemented. 

A suggested procedure (8) consists of: (1), isolating places of

high transit trip production potential by identifying areas having

a high percentage of dwelling units at low income and/or low auto

ownership and from a knowledge of the area locating concentrations

of the young, the old, the poor, and the handicapped; (2),

estimating the latent demand from these areas through subjective

analysis of areas with high attraction potential or through a

latent demand survey; and (3), the results of the above 2 items

would be used to estimate a total travel demand based upon system

improvements or changes.  The types of systems for transit that

might be evaluated include standard buses, taxicabs, jitneys,

"dial-a-ride" bus systems, cooperatively-owned vehicles, rental

vehicles, and carpools.



In long-range forecasting, for all but the smallest areas after

person trip ends have been forecast, the proportion of future

travel by transit is estimated by modal split procedures either

before or after trips are distributed.  A diagram depicting these

two possibilities is shown in Figure 6. Additional information on

long-range transit planning and modal choice procedures for larger

areas can be found in references 30, 31, and 32.



In smaller urban areas, the emphasis in long-range planning should

be on assessing the impact of various transit alternatives on the

highway plan, rather than actually developing a long-range transit

plan.  Transit for smaller areas is flexible, e.g., buses, and

planning is normally not necessary for more than a few years in the

future.





Click HERE for graphic.





FIGURE 6.  LOCATION OF MODAL CHOICE WITH RESPECT TO TRIP GENERATION

           ANALYSIS IN THE TRANSPORTATION PLANNING PROCESS.



                                    - 30 -











One suggested approach would be to develop work-trip modal choice

and auto occupancy models for long- and short-range highway

planning.  For those areas needing a modal split model, a simple

work-trip choice model has been developed based on the 1969-70

Nationwide Personal Transportation Study data by the Urban Mass

Transportation Administration.  Direct generation (cross-

classification) would be accomplished for short-range estimates of

non-work transit and auto trips.  This could be done with separate

transit and auto models or with a modal split procedure which

"fits" with the other phases of trip generation and uses person

trip productions as input.  In the latter case, trips would be

stratified by transit and by automobile based upon trip purpose and

household income from the O-D survey.  Table 8 is an example of the

resulting cross-classification matrix.



                                    TABLE 8

               Illustration of Matrix for Percent Transit Trips





Click HERE for graphic.





For each cell, the total trips and transit trips would be

accumulated and the percent transit trips developed based upon the

total trips.

A graph would then be developed for each purpose by plotting the

cell percentages as shown in the example in Figure 7.





Click HERE for graphic.





      FIGURE 7   ILLUSTRATION OF CURVES FOR PERCENT TRANSIT TRIPS



                                    - 31 -



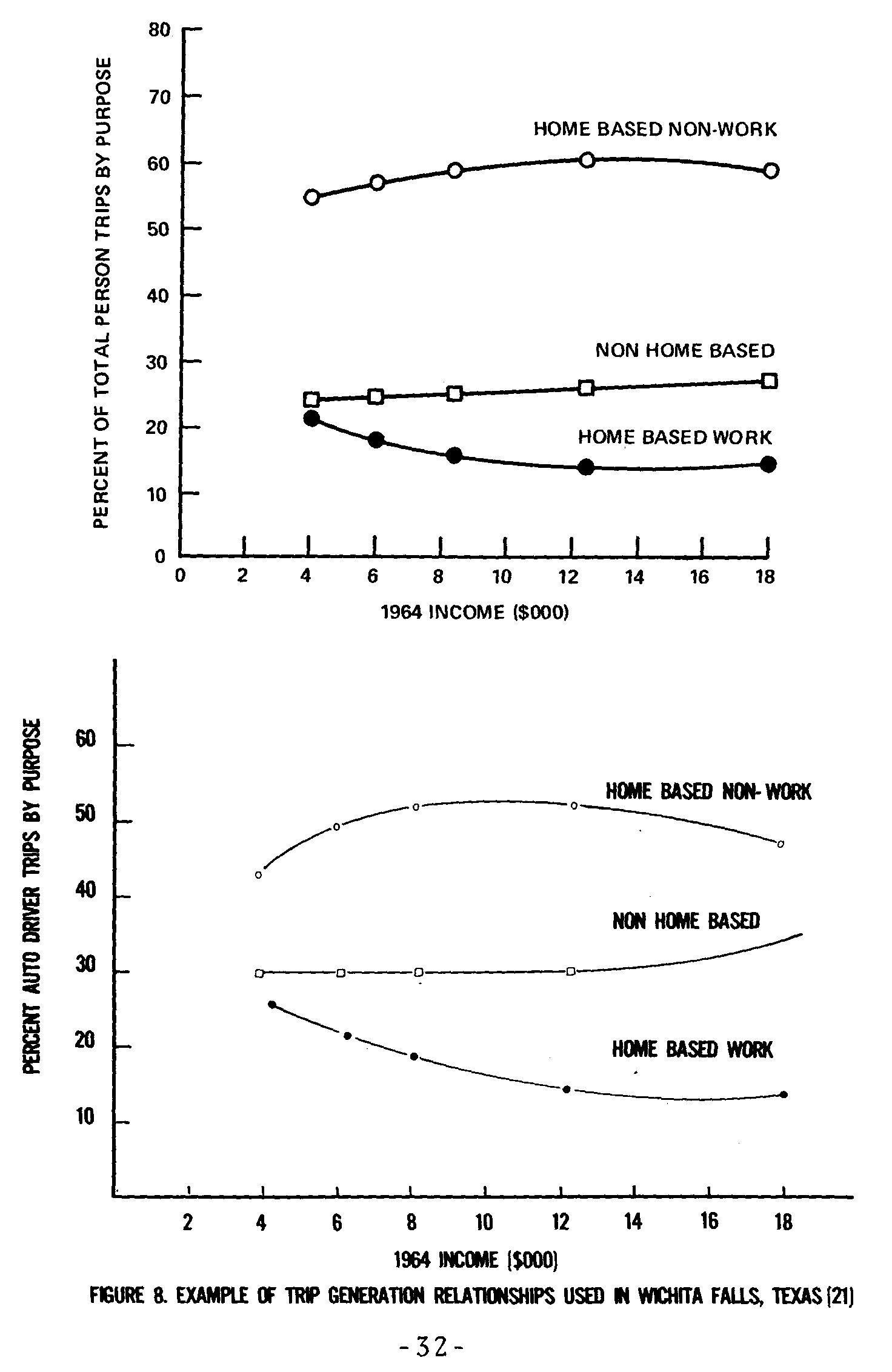
The approach taken in the Wichita Falls study was to develop two

purpose distribution models (person and auto driver) as illustrated

in Figure 8. (21) This allows a total control on person trips with

a direct estimation of auto driver trips which are the most

significant in smaller cities.  A car occupancy rate can be applied

to the auto driver trips and the results subtracted from person

trips to produce an estimate of mass transportation travel.





Click HERE for graphic.





      FIGURE 8   EXAMPLE OF TRIP GENERATION RELATIONSHIPS USED IN

                 WICHITA FALLS, TEXAS



                                    - 32 -









An alternative to the above is to develop transit and auto use

based upon a car ownership stratification.  An example matrix is

shown as Table 9. This data could be converted to percentage

transit and plotted as a series of curves by purpose.



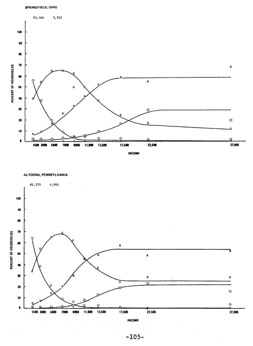
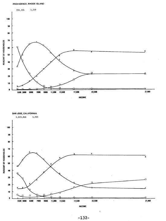
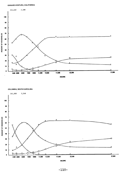
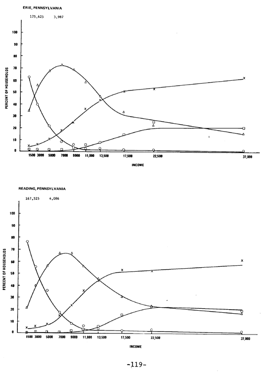
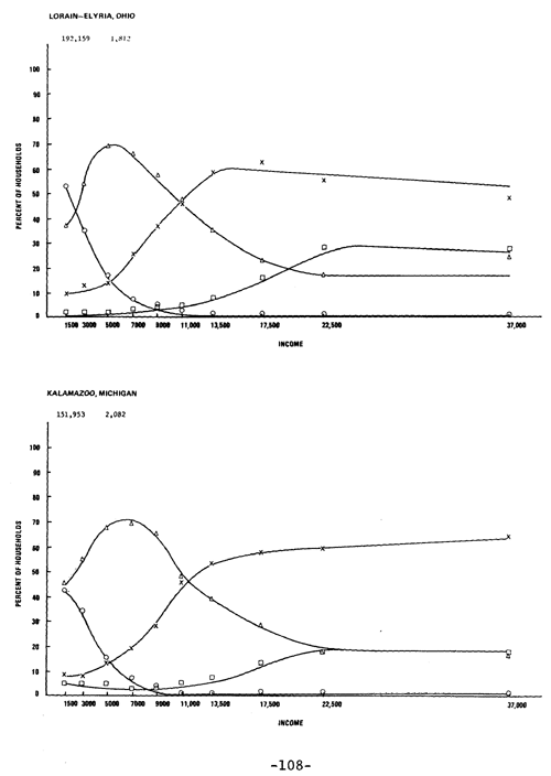
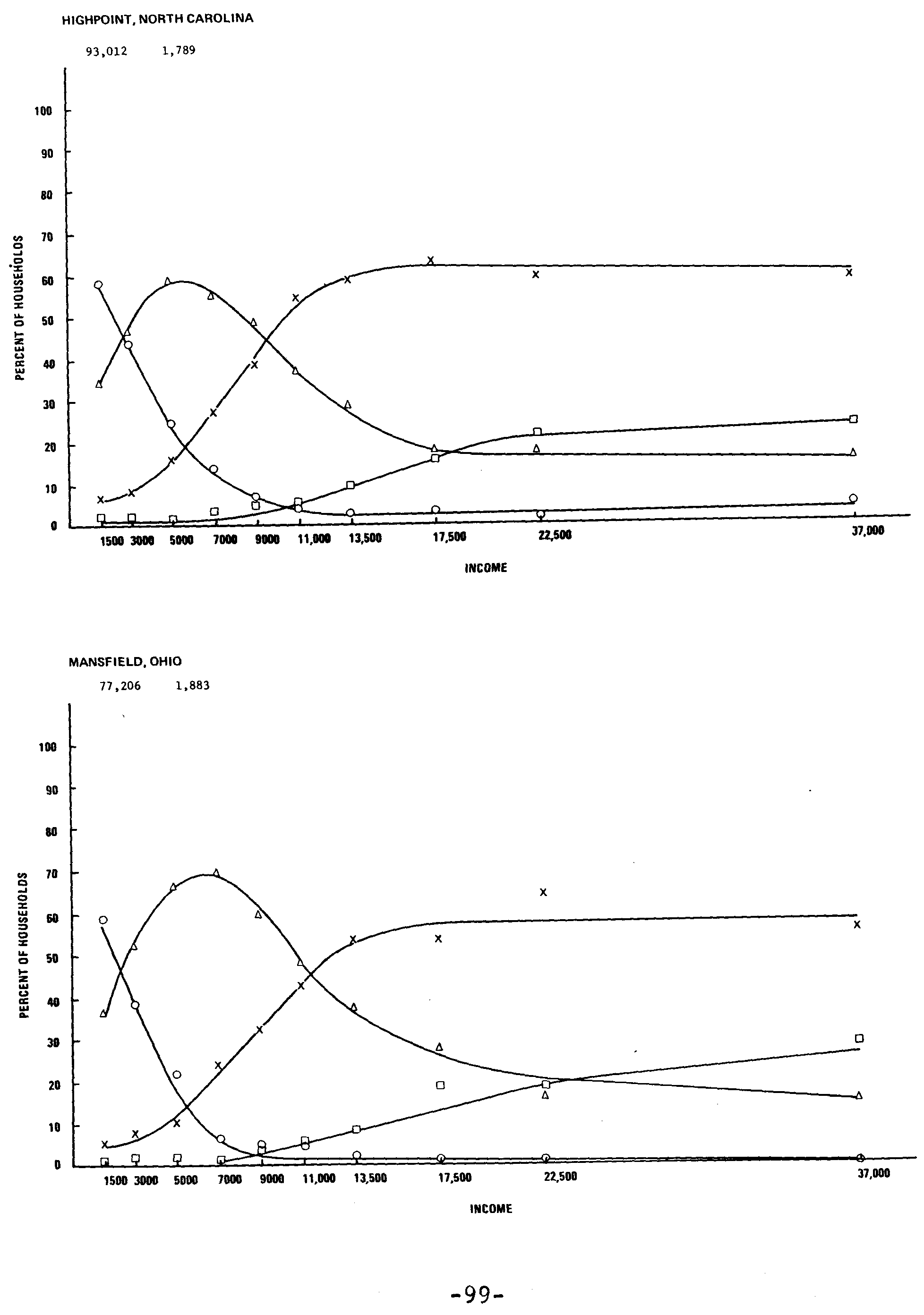
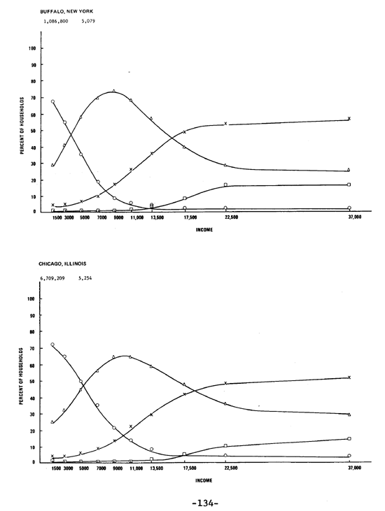
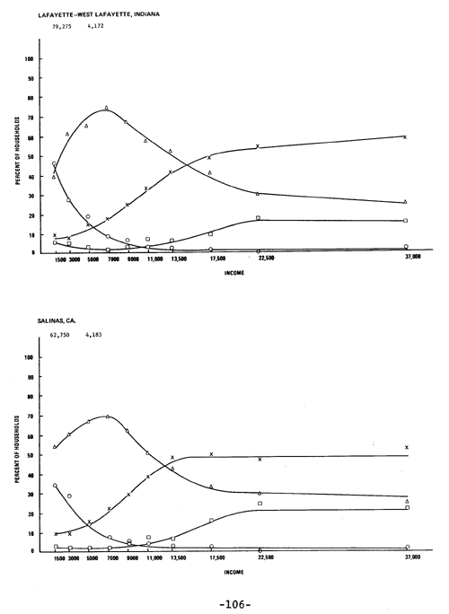
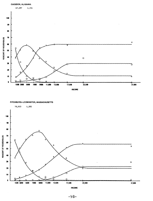
FORECASTING CAR OWNERSHIP



Most of the process described thus far relies heavily upon income

as a predictive variable.  Car ownership is highly correlated to

income but is included in the process as a basic factor.  This is

based upon the usefulness of car ownership for modal choice models,

the need to consider auto ownership saturation levels in the

planning process, and the high elasticity in vehicle purchasing and

travel with respect to income.  The trip generation procedure

recommended, is therefore, a two step process based upon a car

ownership relationship with income and a trip relationship with

income and car ownership.



The variable considered in this process for predicting car

ownership is again income which is the key variable throughout this

procedure.* The same stratification for income used for the trip

rate curves, trip purpose, and mode forecasting should be used

here.  An example cross classification table to be established is

shown in Table 10.  Within income group and auto ownership class,

the number of total households would be accumulated.  The percent

each cell is of total households within an income class would then

be computed.



                                   TABLE 10

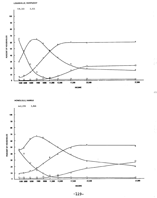
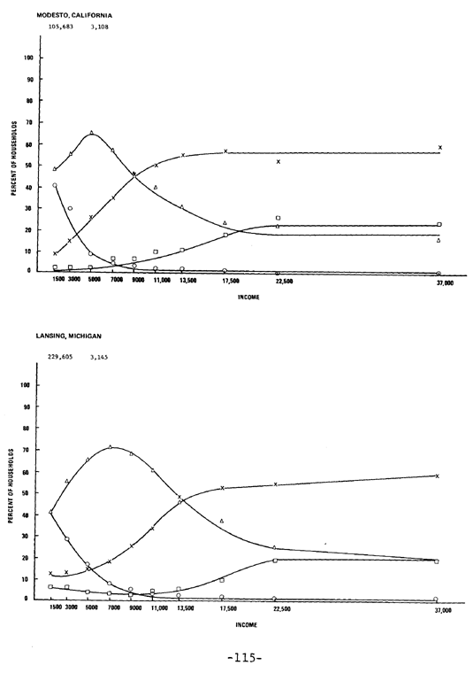
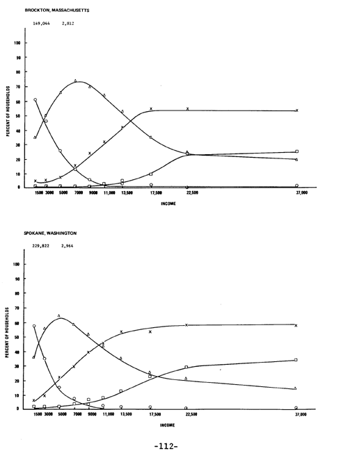
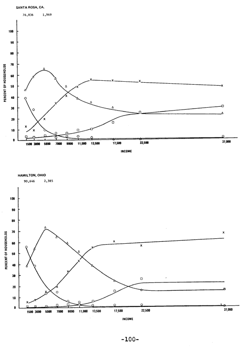
           Example of Cross Classification Matrix for Car Ownership











___________________________



*     See Appendix A for a discussion on income forecasting.



                                    - 33 -







                                    TABLE 9

            Mode Choice Estimating-Illustration Using Car Ownership





Click HERE for graphic.



                                    - 34 -





The data in the table would then be plotted.  An example of a

completed table is shown as Table 11 for Wichita Falls, Texas.



Data for the car ownership model is available from most origin

destination surveys.  The 1970 Census Urban Transportation Planning

Package also provides the necessary data to complete the above. 

Curves have been developed from the census package for a number of

areas.  Generally the findings of the plots indicate that the shape

of the curves is rather constant across the country.  Two examples,

one for Great Falls, Montana and the other for Providence, Rhode

Island are shown in Figure 9. Additional curves are shown in

Appendix B. When plotting the data and developing curves for car

ownership, care should be taken that the summation of percent

households at each income should add to one-hundred percent.



The example for Providence tends to indicate a leveling out of 0

auto households close to 1%.  One auto households at about 23%, 2

auto households at about 53% and 3 or more auto households at 22%. 

If the assumption is made that the 3 or more category averages

about 3.3 autos per household, the ownership level for the leveling

out point can be calculated as (0.23 x1 + 0.55 x 2 + 0.22 x 3.1) or

2.02 cars per household.  Should average car ownership values be

required for a planning purpose, the curves plotted can be

converted as shown in the development of the 2.02 value for

Providence.  The average car ownership curve, plotted by income

group, for Providence is shown in Figure 10.





Click HERE for graphic.





FIGURE 10  EXAMPLE OF AVERAGE CAR OWNERSHIP CURVE FOR PROVIDENCE,

           R.I. 1970



                                    - 35 -



Click HERE for graphic.





FIGURE 9.   EXAMPLES OF CAR OWNERSHIP CURVES.



                                    - 36 -







Click HERE for graphic.





                             - 37 -





Although generally not necessary, some may wish to further stratify

the car ownership relationships based upon other variables in

addition to income.  Some other variables which have been used are

density of development and persons per household.  Both affect car

ownership and do explain additional variation.  Density may be

stratified into a number of ranges as shown below.



           Low density       0-19 persons per acre

           Medium density    20-39 persons per acre

           High density      40+ persons per acre



The above range values are for illustrative purposes only.  The

selection of ranges for low,. medium and high density may vary by

urbanized area.  Generally it will be found that for a specific

income level, vehicle ownership decreases with increasing density.



The Charlotte-Mecklenburg Transportation Study (North_ Carolina)

utilized income and persons per household in their car ownership

model.  The results are shown in Figure 11.



FORECASTING INCOME



A key variable in the suggested procedure for trip generation is

income.  In many instances income is provided to the transportation

planner by land use planning personnel.  There may be instances.,

however, where an approach to forecasting income in the form

required for transportation planning is required.  A procedure is

described in Appendix A for developing income forecasts by zone.



The procedure described is based upon an examination of income

distributions for several past years on a constant dollar base. 

The technique allows for the extrapolation of the historical income

distributions to the forecast year based upon the knowledge that

the proportion of families in the lower income ranges is decreasing

and that the proportion of families in the higher income ranges is

increasing.  The procedure is iterative in nature, requiring the

application of differential growth factors to income ranges and the

subsequent plotting of the resulting distribution to determine if

the distribution appears to "fit" the historical changes in the

income distribution.



A number of sources are available for future income forecasts,

income distribution data and consumer price index information. 

These sources as well as details of the procedure, including

examples, are contained in the appendix.



                                    - 38 -







Click HERE for graphic.





FIGURE 11  CAR OWNERSHIP MODEL CHARLOTTE-MECKLENBURG TRANSPORTATION

           STUDY(20)



                                    - 39 -







NON-RESIDENTIAL TRIP GENERATION-ATTRACTIONS



The previous sections of this chapter have described a residential

trip generation procedure for estimating trip productions by

purpose.  In this section approaches to trip attraction estimating

will be described.  Basically, trip attraction is related to non-

residential land use for most trip purposes.  For example, home

based shopping trip attractions are to locations where goods are

sold-basically commercial areas.  There may be some few shopping

trips to residential land, but not an amount worth considering.  On

the other hand,, "home based other" trips usually include trips for

social-recreational purposes and by their nature include travel to

residential land.  Likewise, non-home based attractions would have

some residential association.



For trip distribution purposes, trip production and trip attraction

estimates should have an areawide balance by purpose.  For each

home-based purpose the areawide summation of attractions should

equal the area-wide summation of productions as estimated by the

trip generation models.  If production and attraction areawide

summations are not in agreement the trip production estimates are

taken as the control since characteristics of the home such as car

ownership and population generally more adequately reflect changing

travel characteristics than do non-residential variables.  However,

where the difference is significant it is important to re-evaluate

the attraction procedures being used to determine if there will be

perhaps shifts in trip purposes, shifts between travel to areas

(i.e., CBD versus suburbs) or changes in the intensity of travel.*

Once this is done and the planner is satisfied with the

distribution of attractions by purpose and area, the zonal

attractions are used as an index to distribute the trip productions

developed at the household level.



Trip attractions have been handled in several ways, including zonal

regression, land area trip rates or cross classification analysis. 

A simplified approach is suggested based upon the development of

trip rates within a matrix.  Reference should be made to Table 12

for a suggested matrix for the rate development.  The procedure

reflects the character, location and intensity of land use.  The

character is reflected by the land use categories used

(residential, retail, etc.).

___________________________



*     See also page 57, "Controls".



                                    - 40 -





Click HERE for graphic.





                                    - 41 -



Location considers the spatial distribution of the land and in this

procedure is represented by CBD, shopping centers, etc.  The

intensity of the land use is reflected by the activity as measured

by number of employees, students or households.



For the matrix represented in Table 12, the trip rate is based upon

employees by type and/or location, number of students by type, and

number of dwelling units depending upon the purpose of the trip. 

To develop the trip attraction rates, origin-destination survey

trips are accumulated according to land use at the attraction end

of the trip for each trip purpose.  Usually, large shopping centers

are coded as separate zones to allow the trip accumulation as shown

in Table 12.  To stratify the school trips by type of school, the

age of the student can be used if other data in the survey does not

allow the stratification.  Trips for the entire area are

accumulated within the matrix shown.  To obtain the trip rate per

dwelling unit for "home based other" trips as an example, the trips

within the cell are divided by total areawide dwelling units.  To

obtain the rate for the cell "home based work-non retail", the

trips accumulated are divided by total areawide non-retail

employment.



As has been previously discussed, there are often special trip

generators that comprise land uses which are unique and do not show

the same trip attraction characteristics that are typical within

the study area.  For these cases, it may be desirable to conduct

special generator studies to develop a trip rate that is

.characteristic of the special activity.  This would involve

special traffic counts and an inventory of some measure of the

activity (i.e., number of enplaned passengers for an airport, or

number of beds for a hospital, etc.). Various rates have been

compiled from studies such as these around the country and might be

a good source for "a first cut" or "borrowed" rates (1,2,16).



The procedure described above is based upon rates per employee, per

student and per household.  There has been application of similar

procedures based upon rates per acre or square foot of land use

such as the number of shopping trips per square foot of commercial

area.



                                    - 42 -



A procedure very similar to that described above was utilized by

the Metropolitan Washington (DC) Council of Governments and is

described here for illustrative purposes (Reference 22).  The trip

rates shown in Table 13 are based upon employees and dwelling units

depending on whether the land use is non-residential or

residential.  School trips are not shown in the table.  The non-

residential attractions are based on a land use stratification

(industrial, office, etc.) and on location within the area (core,

fringe, suburb, Silver Spring, etc.). Care must be used in applying

rates developed as shown to some future land use projection since

competition between areas and the development of additional

facilities may shift the competiveness between areas.  For example,

the building of a new suburban shopping area which may draw from

current use of Silver Spring may reduce the trip rate per employee

in Silver Spring.



                                   TABLE 13



             Example of Trip Attraction Procedure for Metropolitan

                    Washington Council of Governments (22)



Non-Residential (TRIPS/EMPLOYEE)        HB    HB    HB         NHB

LU                                      WORK  SHOP  OTHER      ATTR

Other                                   1.78    0   5.87        .90

Industrial                              1.62    0   0.45       0.34

Institutional                           1.20    0   1.43        .35

Office-Core (Ring O&1                   1.60    0   0.15       0.13

      Fringe (Ring 2)                   1.63    0   0.22       0.23

      Sub (Ring 3-7)                    1.74    0   0.45       0.30

Shopping-Retail Core                    1.68  2.00  1.17       1.05

      Fringe DC                         1.68  0.39  2.33       1.26

      DC Non Core                       1.68  2.54  2.23       1.86

      Arlington-Alex.                   1.68  4.72  3.82       3.46

      Silver Spring                     1.68  3.85  2.52       2.34

      Alexandria                        1.68  4.50  2.43       2.64

      Suburban                          1.68  8.99  4.34       4.59



Residential (TRIPS/HH)

      Core                              0.66    0   1.08       0.42

      Remainder                         0.06    0   0.57       0.23



                                    - 43 -



APPLICATION OF SIMPLIFIED PROCEDURE



The previous sections have described in detail the development of a

recommended trip generation procedure including the development of

relationships between car ownership and income, trips and income

and car ownership, and between trip purpose and income.  This

section will provide an illustration of the application of the

procedure to some hypothetical data.



The residential trip generation estimation procedure is based upon

a process that is summarized in Figure 12.  It is pertinent to an

understanding to step through the following example describing

application of the process.



The data contained in the example has been prepared to illustrate

the approach and as can be seen is not representative of the type

of land use mixes normally found in a zone.



Given:

      Zone 26:



           Total Number of Dwelling Units           =            1,000



           Zonal Average Income/Dwelling Unit*      =          $12,000



Solution:



      1 -  Enter Curve A (Figure 12) with zonal income/dwelling unit

           to determine car ownership level by household



       2%  "O" auto households    =     20 Dwelling Units

      32%  "1" auto households    =     320 Dwelling Units

      52%  "2" auto households    =     520 Dwelling Units

      14%  "3" auto households    =     140 Dwelling Units

                                        1,000

___________________________



*     As a better alternative, percent households in the zone by

      income category (e.g., low, medium, high), given the zonal

      average income, could be estimated.  Each step in the example

      would then involve multiple calculations, one pass through the

      step for each income category.  Published 1970 Census reports

      are a good source for this information.  See Appendix A for

      more detail.



                                    - 44 -











Click HERE for graphic.





FIGURE 12.       EXAMPLE OF URBAN TRIP PRODUCTION PROCEDURE.



                                    - 45 -











2     -    Enter Curve B (Figure 12) with income, to determine the

           total production from each household - Person Trips.



      Trips from "O" auto household     =     5.5 trips/DU x

                                              20 DU=110 trips



      Trips from "1" auto household     =     12.0 trips/DU x

                                              320 DU=3840 trips



      Trips from "2" auto households    =     15.5 trips/DU x

                                              520 DU=8060 trips



      Trips from "3" auto households    =      17.2 trips/DU x

                                              140 DU=2408 trips



                 Total trips            =     14,418

                 Average trips/DU       =     14.4



3     -    Enter Curve C (Figure 12) with income to determine the

           trips produced by purpose.



      Home to Work trips     =    19% x 14,418      =     2739 trips



      Home to Shop trips     =    11% x 14,418      =     1586 trips



      Home to School trips   =    14% x 14,418      =     2018 trips



      Home to Other trips    =    34% x 14,418      =     4903 trips



      Non-Home Based         =    22% x 14,418      =     3172 trips



                                                           14,418 trips



The approach to trip attraction development can be visualized by

reviewing Table 12 on page 41.  For each trip purpose (home based

work, shop, school, and other, and non-home based) rates are

developed based upon type of land use and the most appropriate

denominator for the rate (i.e., number of-students for the school

trip rate and employment for the work trip rate).  Again, the

example is based upon hypothetical data which does not necessarily

reflect real mixes of land use.



                                    - 46 -











Given:

      Number of dwelling units          =     3,000

      High School Students              =       800

      Elementary School Students        =     1,800

      Shopping Center Retail Employees  =       200

      Other Retail Employees            =       100

      Non Retail Employees              =        50

           Total Attractions            =     11,465



Solution:



      The trip attraction rates would be obtained from Table 12 and

      multiplied by the above as follows:



      Home Based Work Attractions =

           1.7  x (Total Zonal Employees)

           =  1.7(350)  =  595



      Home Based Shop Attractions  =

           2.00 x  (CBD Retail Employees)

           9.00 x  (Shopping Center Retail Employees)

           4.00 x  (Other Retail Employees)

           =  2.00(0) = 9.00(200) + 4.00(100)  =  2200



      Home Based  School Attractions =

           0.90  x  (University Students) +

           1.60  x  (High School Students) +

           1.20  x  (Other School Students)

           =  0.90(0) + 1.60(800) + 1.20(1800)  =   3440



Home Based  Other Attractions

           0.70  x  (Number of Households) +

           0.60  x  (Non Retail Employees) +

           1.10  x  (CBD Retail Employees) +

           4.00  x  (Shopping Center Retail Employees) +

           2.30  x  (Other Retail Employees)

           =  0.7(3000) + 0.60(50) + 1.00(0) + 4.00(200)

              + 23(100) = 3160



                                    - 47 -











      Non Home  Based Attractions =

           0.30  x  (Number of Households) +

           0.40  x  (Non Retail Employees) +

           1.00  x  (CBD Retail Employees) +

           4.60  x  (Shopping Center Retail Employees) +

           2.30  x  (Other Retail Employees)

             =  0.30(3000) + 0.40(50) + 1.00(0)

                + 4.60(200) + 23(100)  =  2070



           Total Attractions  =  11,465



The purpose of this chapter was to explain in detail the simplified

approach to trip generation recommended.  The procedure is based

upon the use of logic and judgment without a great involvement in

statistical measures being necessary.  The procedure allows intro-

duction of policy and judgmental factors such as household size and

car ownership saturation levels.  There are a number of computer

programs available for developing and applying cross classification

matrices.  These programs are described elsewhere (14).



The remaining chapters of this document will cover the evaluation

of trip generation results, additional considerations such as the

handling of external trips and truck and taxi forecasting,

monitoring and surveillance for trip generation.



                                    - 48 -



                                  CHAPTER III

                     EVALUATION OF TRIP GENERATION RESULTS



If handled with care, cross classification derives its basic

strength from the need to maximize logical structuring of the

variables.  It is basically a common sense approach which minimizes

the amount of statistical evaluation required.  There are some

applicable statistical evaluation measures but not as many as with

a regression approach.  This chapter will discuss statistical as

well as reasonableness checks for trip generation and provide some

factors to consider in analysis.



REASONABLENESS CHECKS



The design of the cross classification matrix is based upon the

choice of independent variables on which to stratify the trip rate

and the categories chosen to stratify the variables.  For the

choice of variables it is recommended that the chosen trip rate

(i.e., trips per dwelling unit) be plotted against the possible

choices for stratifying the trip rate in the cross classification

matrix to develop a "feel" for the data and relationships at hand. 

While plots of the data are extremely useful, they are only two

dimensional.  Because of this too much reliance should not be

placed on the scatter diagram alone since the relationships may

change when a third variable is added.  Regression and correlation

also can provide useful information to assist in the choosing of

stratifying variables for the cross classification matrix.  A

simple correlation matrix will provide the interrelationships

between the trip rate and possible stratifying variables.  The

coefficient of simple correlation (r) is a measure of association

between two variables and the matrix gives the correlation

coefficients for all possible pairs of variables (3).  An

examination of this matrix will provide information about

relationships between the independent and dependent variables. 

Strong relationships may then be evaluated for logic.  Although the

above tools are important, variables which appear to be the most

logically related to the trip rate variable should receive the most

attention.  Variables which reflect a causal relationship which has

some likelihood of remaining stable over time should receive the

highest priority.



                                    - 49 -











Some rules of thumb may be considered in the development of the

cross classification matrix.  The number of observations for any

"cell" of the matrix should be large enough so that the mean rate

developed for the cell can be reflective of travel for future

application.  It is suggested that at least twenty-five

observations be accumulated in each cell.  Where there are less

observations, consideration should be given to combining the cell

with another.  Another solution for too few samples in a cell would

be to ignore the cell when plotting results of the cross

classification and then using the value from the smoothed curve. 

Secondly, the cell values should not have too wide a dispersion as

reflected by the standard deviation of the observations about their

mean.  The analyst should establish criteria for evaluating this

dispersion.  Where many cells of the chosen cross classification

matrix have a large standard deviation, consideration should be

given to either stratifying on an additional variable or re-

evaluating the initial choice of variables.  Where only a few of

the cells of a matrix have a large standard deviation as a percent

of the mean, the ranges established should be re-evaluated to

determine if new ranges should be used or if certain cells should

be subdivided.  For example, if a matrix utilizes income stratified

into $4000 increments (i.e., 0-$4000, 4-$8000, 8-$12,000, etc.) and

results in a high standard deviation in the trip rates,then perhaps

a stratification on $2000 income increments should be tested (i.e.,

0-$2000, 2-$4000, etc.) In addition to the standard deviation which

is automatically determined by programs such as XCLASS, it may be

appropriate to evaluate the shape of a cells distribution where

high standard deviations are found.  Such an evaluation can be

accomplished manually.  For cells that require evaluation the

frequency distribution of values would be plotted as shown in

Figure 13.  The left curve shows a normal distribution.  Where the

standard deviation is within about the established percentage of

the mean no further evaluation is warranted.  Where the value is

outside the established percentage of the mean, and the other cells

are generally within the guidelines then consideration should be

given to further stratification of the column or row containing the

cell in question.  If a "skewed" distribution is found as shown in

the right half of Figure 13, consideration should be given to a

further stratification or redefining of the ranges established for

the matrix variables.



                                     -50-











Click HERE for graphic.





FIGURE 13  ILLUSTRATION OF THE SHAPE OF DISTRIBUTIONS FOR CROSS

           CLASSIFICATION CELL VALUES



The values accumulated in the cells of a cross classification

matrix should always be plotted.  The purpose of the plots is three

fold.  First, such_a.plot will indicate if the results of the

matrix design are logical For example, if a plot shows a number of

dips and rises rather than a smoother functional relationship,

further investigation should be made of ranges established and the

distribution of values within the cells.  Secondly, if a very flat

relationship is found showing little variation in the trip rate

with the matrix value, then consideration should be given to use of

an alternate matrix-stratifying variable.  Thirdly, if the curve

shows a relationship contrary to logic, such as trips per dwelling

unit decreasing with increasing car ownership, then consideration

should be given to further evaluation of the source data for

accuracy and soundness.



Although the cross classification approach suggested is basically a

household level analysis on the residential end and a "site"

analysis at the non-residential end, the application of the process

is usually at the zonal level in which the pertinent land use and

socioeconomic data are accumulated.  This is based upon further

application of the trips generated in trip distribution,and assign-

ment models.  As a "reasonableness" check, the trip generation

relationship developed should be applied to "base" year data to

develop zonal trip productions and attractions.  These may then be

compared to "actual" base year productions and attractions from the

O-D surveys.  A plot of observed against estimated values will be



                                    - 51 -











useful in this evaluation.  This tool, while rarely used, is an

excellent means of locating analysis areas which exhibit unique

characteristics.  An example of such a plot is shown in Figure 14. 

Analysis areas represented by data points falling well away from

the "45-degree line" may be located on a map of the study area and

examined for unique characteristics or geographical bias.  This

type of plot is suggested for all of the matrices developed

including trip productions, trip attractions, car ownership, and

purpose stratifications.





Click HERE for graphic.





FIGURE 14  PLOT OF OBSERVED VS. ESTIMATED VALUES OF THE DEPENDENT

           VARIABLE--TOTAL TRIP PRODUCTION BY ZONE



The results of applying the cross classification matrix approach

can be improved if unique traffic generators are removed from the

matrix.  A major shopping center or an air terminal are typical

examples which may warrant deletion from the classification

analysis.  Separate analyses are then required for these areas. 

For example, future trip ends in the airport zone should be

forecast as a function of independent projections of air passenger

volumes.  Time series analyses are both useful and desirable in

analyzing special generators if



                                    - 52 -











the appropriate data are available.  A straight line or curve is

fitted to the monthly or yearly observations which are treated as

values of the independent variable in order to determine a long

term trend.  In the case of a large airport, for example, the

relationship of trips to air passenger volumes may be studied over

an extended length of time.  Any trend that is detected will be

important in forecasting trips generated by that airport.





STATISTICAL EVALUATION



As previously stated, the cross classification approach provides

little facility for testing the statistical significance of various

explanatory variables which are thought to affect trip generation. 

The analyst must rely heavily upon experience, the logic associated

with trip making and good common sense.  He should not become

overly involved with the "statistics" associated with other

procedures such as with the regression approach.



A recent article, Category Models -- A Case for Factorial Analysis

(9), indicated that statistical significance tests can be performed

with factorial analysis and sometimes even with the least squares

regression technique.  The objective of the factorial analysis is

to determine the main effects and interactions of variables in a

cross classification analysis and to test their significance. 

Basically, the main effect of a factor is determined from the

average value of the dependent variable for each level of the

factor.  This is accomplished by holding the effects of other

variables constant across the levels of the main effect being

examined.  The differences, if any, between the values for

consecutive levels indicate the effect of the factor on the

dependent variable.  In addition to the above, tests are suggested

by the article's authors based on analysis of variance where the

basic objective is to compare the variation of the dependent

variable that can be attributed to the individual factors with what

can also be attributed to mere chance or random errors.  The

significant tests of individual factors and their interactions are

performed by means of F tests.  The computer programs BMD02V,

Analysis of Variance for Factorial Design,and BMD05V, General

Linear Hypothesis, can be used for the analysis.  The reader is

referred to the



                                    - 53 -











above mentioned article for further details.*



Again, it is more important that the relationship developed in the

cross classification be logical and the reasonableness checks

discussed previously be accomplished to the analyst's satisfaction

than tedious, often difficult to perform and understand,

statistical tests be accomplished.



Since the cross classification is based upon mean values developed

for cells of a matrix, the adequacy of source data is obviously of

concern.  The number of observations per cell must be sufficient

and the criteria for evaluating the distribution of values about

the cell mean should be met.  Most O-D surveys will provide

adequate data.  If a survey is to be designed to collect

information for cross classification analysis the sample size

should be established to meet the cell size and standard deviation

criteria.  If possible, all variables used in the cross

classification analysis should come from the same source.  If a new

O-D survey sample is to be collected both the travel and land use

socio-economic data should be obtained.  It is difficult to merge

information from several sources and expect to develop

relationships as acceptable as when all data is from a single

source.  There are usually individual variations in each source

caused by sampling which are difficult to reconcile when data are

combined for use in trip generation analysis.



TIME STABILITY OF GENERATION VALUES



Generally, it is considered that since trip generation models based

on zonal data aggregates are unstable from one-area to another

there is little reason to assume that they will be stable over

time.  Cross classification at the household level however, appears

to have some stability in application between areas and therefore

should have some degree of validity over time, Also, the form of

the cross classification matrix is such that the analyst can

hypothesize changes in trip making for a matrix cell based upon

some study of the past and logical determinations about the future. 

This type of evaluation of possible changes in trip rates should be

a part of the monitoring and evaluation functions of the

___________________________



 *    The Urban Planning Division, FHWA, is currently researching

      further the application of a General Linear Analysis of

      Variance.  Application will be facilitated by the development

      of computer software in 1976.



                                    - 54 -











continuing transportation planning activity.  The form of

regression approaches using aggregate zonal data makes it very

difficult to "observe" the changes in trip making that may be

occurring over time.  It is also difficult to introduce such

changes into the equations for future application.  This is due to

the rather complex interrelationships between independent

variables, their factors and the constant of a regression equation.



To summarize, the procedure described in this document is basically

a common sense approach to trip generation.  A minimum of effort

should be applied to statistical evaluation with the bulk of

evaluation applied to reasonableness checks.



                                    - 55 -











                                  CHAPTER IV

                           ADDITIONAL CONSIDERATIONS



A basic approach to trip generation has been presented in the

preceding chapters.  The purpose of this chapter will be to

highlight some important areas of consideration in the development

and application of trip generation procedures as well as discuss

the handling of additional activities not previously covered such

as external travel and truck and taxi forecasts.



FORECASTING REQUIRED CHARACTERISTICS



The procedure described in Chapter II, A Recommended Approach to

Trip Generation, relies on the forecast of a few key land use and

socioeconomic variables for the estimation of future trip ends. 

These variables are income, car ownership and dwelling units for

trip productions and employment, school enrollment and dwelling

units for trip attractions.  It is important that these land use

and socioeconomic variables be forecast for future year application

with care since all travel forecasts and transportation systems

analysis will be dependent upon such forecasts.



The assumption of the stability of the relationships between trips

and land use and socioeconomic variables over time is basic to

forecasting.  No matter how carefully the trip generation procedure

is developed or how accurately the estimating relationships mirror

observed data, considerable forecasting error may result unless the

variables used are forecast within a reasonable degree of accuracy

and the relationship in fact does remain constant over time.  It is

often easy to forget that the quality of the trip generation

estimating procedure is only as good as the quality of the future

estimates of the land use and socioeconomic forecasts.  Also, since

the assumption of time invariance is generally made when

forecasting, it is extremely important that relationships be chosen

which are expected to exhibit a high level of stability over time. 

The transportation planner must not become so involved in the

mechanics of model development that he loses sight of the goal of

providing meaningful travel forecasts.



                                    - 56 -











Since the development of trip generation procedures and their

application are usually accomplished by a transportation

planner/analyst and forecasts of land use and socioeconomic

characteristics are developed by land use planners, it is important

that a dialogue and close working relationship be established in

the development of procedures for trip generation to insure a full

understanding of pertinent considerations early in the process.



CONTROLS



As previously discussed it is important in the application of trip

generation procedures to obtain an areawide balance between the

trip production and trip attraction estimates.  The importance is

related to insuring a consistency in the forecasts and also based

upon trip distribution processes used such as the gravity model

which relies on such an areal balance.  The balancing involves the

summation of zonal productions and attractions by trip purpose.  If

the two are not in agreement the trip production estimates are

usually taken as the control since characteristics of the home such

as auto ownership and income more adequately reflect changing

travel characteristics than do nonresidential variables.  However

if there are large discrepancies it is important that more than a

cursory evaluation and adjustment be undertaken.  Both the

production and attraction relationships should be examined to

determine if adjustments are required in future application due to

unforeseen situations.  For example, there may be some overbuilding

of shopping facilities resulting in higher than expected shopping

trips when applying the shopping trip attraction generation rates. 

An evaluation of this might indicate a lowering of the shopping

trip rate for shopping center locations and leaving the rates

constant for CBD and other non shopping center locations.* 

Likewise, the percentage of trips in each purpose category should

be examined for consistency with known trends.  For example, most

repeat origin-destination studies show that work trips are

declining as a percentage of total trips.



In addition to the above control checks and considerations for

forecasting, close examination should be made of the growth rates

in the socioeconomic and land use data as they relate to the growth

rate in trips.  The upper portion

___________________________



 *    It is also quite possible that increases in trips to a

      particular land use type activity (e.g., shopping centers)

      would be reasonable because of increases in the attractions of

      such activities over time and not because of a general rise in

      socioeconomic levels at the production (or residential) end of

      the trip.  Reducing the trip attractions to balance with the

      productions could result in an under estimation of future

      total travel.



                                    - 57 -











of Table 14 shows an example of socioeconomic survey data for a

study area with corresponding future estimates.  The resulting

growth rates are also shown.  Note the significant differences in

these rates.  The lower part of the table shows the areawide growth

in trips and trip rates which resulted when the forecast land use

and socioeconomic data were applied to the base year relationships

developed in this hypothetical generation analysis.  By calculating

ratios of combined trip and socioeconomic information, a check may

be made on the reasonableness of the growth in trips (line 15 in

the table) against the growth in the socioeconomic data used to

estimate the future trip productions.



Presenting trip and socioeconomic information in this manner serves

two valuable purposes.  First, the adequacy of the various trip

estimates in reflecting the forecast socioeconomic data can be

evaluated.  Secondly, an emphasis is placed on evaluating the

forecast socioeconomic data for reasonableness.  For example, the

growth in population by zone should reflect a similar growth in

dwelling units or labor force.  Often it is helpful in this type of

evaluation to compare the growth rates for the combined trip and

socioeconomic data (Table 14, lines 16-19) with the growth rates of

other study areas of similar size.



Parking Availability



In addition to the above type of controls it is important to

evaluate land use changes in relation to available parking and

travel to the central business area.  Parking availability in the

future year should be related to the auto travel forecasts. 

Turnover rates by time of day and/or trip purpose can be developed

from a parking survey or obtained from such a study in a similar

area.  These turnover rates should be applied to the future

estimates of travel to the CBD to assess parking requirements in

relation to expected parking availability.  Such an assessment may

indicate that there is sufficient parking.  Another result may be

that sufficient parking will not be available for some trip

purposes.  This may result in the necessity for additional shifts

in travel to mass transportation or to other locations in the-

metropolitan area.



Adjustment For Under-reporting



Normally trips obtained from household origin-destination surveys

will be under-reported for a number of reasons including:  The

interviewee forgot a trip he made, overlooked



                                    - 58 -











a trip some other family member made, or a family member that made

trips on the travel day was not present at the household on the

interview day.  Trip data from the home interview are usually

adjusted upward using counted traffic as a bench mark and the

resulting factors often added directly to the trip cards(29).



The best method of incorporating the adjustment for underreporting

would be to locate it as an integral part of the development of the

cross-classification matrix of trip rates.  This could be

accomplished either internally within the computer program as it

builds the matrix, or externally by hand adjusting the matrix

values.  Currently the DUSUM and XCLASS programs in the FHWA

Battery use the unexpanded trip data, each record being a trip, and

any adjustment is not incorporated.  Another program, PRKTAB, which

can also be used as a matrix builder similar to XCLASS, has the

capability of reading a factor from each trip record and applying

it to the trip values being developed.



There are several other points during the process at which required

adjustment factors can be applied: (1) To the zonal trip production

estimate after the cross-classification matrix has been applied, or

(2) the analyst can take into consideration the fact that estimated

trip volumes are likely to be somewhat low when evaluating forecast

trip assignment results.  The simplistic nature of the dwelling

unit cross-classification technique has the advantage of allowing

the analyst to introduce reasonable external adjustments based on

sound judgement.



Table 14--       Summary of areawide totals of typical socioeconomic

                 and land use data--a hypothetical example



                             Survey data      Future           Growth

                                              estimates*       factor



1     Dwelling units         19,540           27,300           1.40

2     Population             61,450           88,900           1.45

3     Cars owned             20,100           36,200           1.83

4     Labor force            23,700           33,800           1.43

5     Residential acres      3,261.4          4,557.6          1.40

6     Total employment       23,800           35,746           1.50

7     Retail sales 

      (000's $)              109,840          158,905          1.45

8     Commercial floor space

      (000's sq. ft.)        3,065            4,445            1.45

9     Industrial acres       437.2            638.4            1.46

10    Persons per car        3.06             2.42             0.79

11    Persons per dwelling 

      unit                   3.14             3.26             1.04

12    Persons per 

      residential acre       18.84            19.51            1.04

13    Dwelling units per 

      residential            5.99             5.99             1.00

      acre

14    Cars per dwelling

       unit                  1.03             1.34             1.30



                 COMBINED TRIP AND SOCIO-ECONOMIC INFORMATION



15    Total home based trip

      production             84, 532          159,288          1.88

16    Home based trip 

      production per car      4.21            4.34             1.03

17    Home based trip production

      per dwelling unit      4.33             5.83             1.35

18    Home based trip production

      per person             1.38             1.79             1.30

19    Home based trip production per

           residential acre  25.92            34.95            1.35



      *    Land use and socioeconomic estimates are for illustration

           only, and are based largely on assumed data.



                                    - 59 -









EXTERNAL TRIP FORECASTING



The procedures described in this document have concentrated on the

development of trip generation relationships considering internal

travel made by residents of the area.  These trips begin and end

within the cordon line of the transportation study and generally

comprise 80 to 90 percent of the total trips in a typical study

area.  Practically all of the remaining trips have one end in the

study area and the other beyond the cordon line-external trips. 

Also, there are trips that have neither end in the urban area--

through trips.  These through trips may be of significant magnitude

in the smaller urban areas.  These latter through trips are usually

handled by a factoring of inventoried through trips using a

procedure such as the FRATAR trip factoring process.  However,

growth factors must be developed to apply such a method to the

through trips.  Such growth factors are developed based upon

forecasts of facility development which may add or remove some of

the attractiveness for going through the area in question and

expected growths in population and economic activity in the region

of the country from which the through trips develop.



There are several approaches to handling internal-external travel. 

One procedure for forecasting and distribution is to group external

trips so that they are "produced" at the external stations on the

cordon line and "attracted" to the internal analysis units (zones). 

The volume of external trip attractions are a function of the

character of the zone and also of the distance from the cordon. 

Earlier research has shown a consistency in the pattern of external

trip ends in a study area (Figure 15) (10).  For example, the

central business district normally attracts proportionally more

external trips than do other zones in the study area.



Generally there are not enough external trip ends to allow them to

be analyzed independently of the internal trips.  It is suggested

in trip generation analysis, therefore, to treat the internal ends

of external trips as a proportion of all other internal trip ends. 

The ratio:



                  No. of internal ends of external trips/zone

               _________________________________________________



                   No. of all other internal trip ends/zone



calculated by zone forms the basis for this approach.  The average

of the zonal ratios by rings can then be calculated



                                    - 60 -











Click HERE for graphic.





FIGURE 15  DISTRIBUTION OF TRAFFIC APPROACHING A TYPICAL

           METROPOLITAN AREA OF ONE MILLION POPULATION



and analyzed to determine if there is any consistent pattern.  An

alternative, if no pattern is discernable, might be to average the

zonal ratios by district and then examine for a pattern.  When a

large traffic generator, such as a shopping center, draws a

significant amount of external trips, it should be analyzed

separately.  Another approach is to use the attractions as

developed for internal trips as the index for distributing the

external productions at the stations to the internal zones.



The percentage of external traffic destined to various rings may

change over time.  Estimates of changes can be related to the

growth of the city.  Figure 16 illustrates the shifting

distribution of external traffic as the city grows (10).





Click HERE for graphic.





FIGURE 16.       DISTRIBUTION OF TRAFFIC APPROACHING CITIES OF

                 VARIOUS SIZES.



                                    - 61 -











At the external station (production end of the trip), the forecast

of future trip ends should be based upon a growth factor that

reflects the growth in travel within the corridor of the station,

including the growth in the area beyond the cordon which is

tributary to the external station.  In forecasting it is necessary

to balance the growth in trips, as determined from the external

factors, with the growth determined from the analysis of the zonal

ratios by ring.  The more reasonable and logical total value should

be used as a control.  The distribution model handles the problem

directly if the attraction values are considered as indices by

which the station productions are distributed.





TRUCK AND TAXI TRIP FORECASTING



If the volumes are sufficient, forecasts of truck travel can be

accomplished by undertaking a separate truck trip generation

analysis.  Where volumes are low, however, truck trips are often

combined with nonhome based trips, as the factors that influence

the latter are also found to be important in describing truck trip

generation.  In the case of an unusually large truck terminal or

manufacturing site with a high rate of truck trip activity,

separate growth factors which reflect the potential growth

characteristics of the individual site may be required.  A special

generator-analysis could be conducted.



Taxi trips may also be analyzed separately or combined with the

nonhome based trip category, depending on their magnitude.  Taxi

trips usually exhibit a rather definite pattern.  For example, taxi

trip generation rates usually decrease in number in direct

proportion to distance away from the CBD, as well as to increases

in auto ownership.



When taxi and/or truck trips are significant enough to require

separate analysis they can be handled in a manner similar to non-

home based attractions as previously described, developing rates

based upon dwelling units and employment.*



The trip productions and attractions would be set equal.  In some

applications truck and taxi trips have been combined and handled as

a single "purpose".  In-one such application the following type of

rates were developed based upon acres of land use (Table 15).

___________________________



 *    See page 40, "Non-Residential Trip Generation Attractions,"

      and Table 12.



                                    - 62 -





                                   Table 15

                 Example of Average Truck-Taxi Trip Rates (21)



Area                              Trips Per Land Use Acre

Description                       Resid.      COMM.       Indust.    Other

Central Business District         17.37       55.96       131.50     11.92

Remainder of Area                 2.04        14.33         3.78      0.83

Military                          -----       ------      ------     0.68





      COMPLETE SYNTHESIS OF TRAVEL



A considerable amount of research and development has been

accomplished relative to procedures and methodology for

transportation planning.  Most of the significant work has been

done by the larger urban areas in which origin and destination

surveys with significant sample rates have been taken along with

rather complete land use, socioeconomic and transportation facility

inventories.  This past work in over two hundred areas provides

background information which may be used to synthesize travel

demand and systems use in other areas.  Most work relative to

synthesizing an entire travel pattern and system use has been

accomplished in smaller urban areas where perhaps complete O-D

surveys and other inventories cannot be justified.  It would not be

unreasonable, where the need arises, for an urbanized area (over

50,000 population) to synthesize the trip generation element of the

forecasting process.  Most approach the problem by synthesizing

current travel patterns using model formulations calibrated in

another, and if possible similar, area.  After the models are

adjusted to synthesize current patterns they can be used for

forecasting future travel.



The procedures described in this document for trip Generation are

easily transferable to areas other than for which they are

developed.  The number of variables (land use, and socio-economic)

required for the travel estimates is small and usually available

from secondary sources.  The relationships shown in Appendix B can

be "borrowed" for synthesizing purposes.



A procedure for a transportation planning process in small urban

areas has been described in a document "Travel Simulation For Small

Cities" to be published in 1975 as a FHWA Highway Planning

Technical Report.  An outline of the procedure described in the

report is presented in Table 16.



                                    - 63 -











                                   Table 16

                        Outline of Simulation Procedure



I.    Data Collection and Network Development

      A.   Socio-Economic Data

           1.    Population

           2.    Auto Ownership

           3.    Income

           4.    Employment

           5.    Inventory of Transportation Facilities

      B.   Traffic Counting

           1.    External Cordon Survey

           2.    Screenline Crossings

           3.    Major Traffic Generators (hospitals, stadiums, etc.)

           4.    CBD Cordon Checks

           5.    VMT Estimates

                 a.    areawide

                 b.    subareas

                 c.    functional classes

      C.   Select Highway Network and Zones

           1.    Functionally Classify Network

           2.    Code Network

           3.    Determine Speeds

           4.   Check Minimum Time Paths



II.   Trip Generation

      A.   Internal Trips

           1.    Select trip purposes and percent of trips for each

                 purpose from other studies.

           2.    Select trip generation relationships from other

                 studies.

           3.    Calculate productions and attractions for each

                 purpose by zone.

           4.    Balance productions and attractions.

           5.    Check results by use of control zones, and by

                 comparison of trip rates per dwelling unit and per

                 capita to other studies, and by comparing estimated

                 VMT with counted VMT.

           6.    Readjust trip generation model if necessary.

      B.   External-Internal Trips

           1.    Determine external-internal and through productions

                 and attractions using linear regression model based

                 on an external origin-destination study.



III.  Trip Distribution

      A.   Internal Trips

           1.    Distribute productions and attractions by purpose

                 using the gravity model and friction factors derived

                 from other transportation studies.

           2.    Check resulting trip length frequencies for each

                 trip purpose for reasonableness and compare to

                 frequency curves from similar urban areas of similar

                 character.

           3.    Compare ground counts across screenlines to movement

                 across screenlines indicated by the distribution

                 model and compare desires to and from CBD with

                 cordon counts around CBD.



                                    - 64 -









                             Table 16 (continued)



                       a.    Add time penalties to compensate for

                             topographical barriers if necessary.

                       b.    Make zone-to-zone adjustments as

                             necessary.

      B.   External-Internal Trips

           1.    Distribute synthetic external-internal productions

                 and attractions by purpose using the gravity model

                 and friction factors derived from other

                 transportation studies.

           2.    Calibrate gravity model by adjusting friction

                 factors until the resulting synthetic trip length

                 frequency curves matches the frequency curve

                 produced by a distribution of internal-external O-D

                 trips.

           3.    Assign the internal-external O-D trip matrix and the

                 synthetic external-internal model trip matrix to the

                 existing network.

                 a.    Separate links into volume groups for root mean

                       square analysis.

                 b.    Compare O-D and model distribution of trips

                       across screenlines.

                 c.    Make any zone-to-zone adjustments as needed to

                       properly distribute the synthetic trips to

                       reproduce O-D movements.



IV.   Assignment and Checks

      A.   Assign all trips in origin-destination format to the

           existing network.

      B.   Gross Checks

           1.    Compare total VMT for assigned trips and ground

                 counts.

           2.    Using screenlines, cutlines, and CBD cordon, compare

                 total volumes for ground counts and model trips.

      C.   Fine Tuning Checks

           1.    Compare assigned and counted VMT disaggregated by

                 functional class and area type.

           2.    Compare assigned volumes on specific links with

                 ground counts.



V.    Model Adjustments



      A.   Validity checks indicate that model trips and VMT do not

           agree with ground counts and actual VMT.

           1.    Examine network and alter if necessary.

           2.    Adjust zonal productions and attractions up or down.

           3.    Adjust speeds to get better link-by-link agreement

                 with ground counts.

      B.   Checks indicate model VMT and screenline checks are good

           1.    Adjust speed if necessary to smooth out assigned

                 trips

      C.   Model VMT is good but distribution is poor

           1.    Make zone-to-zone adjustments if appropriate.

           2.    Alter friction factors.



                                    - 65 -











                                   CHAPTER V

                MONITORING AND SURVEILLANCE FOR TRIP GENERATION



The continuing transportation planning process emphasizes the need

to monitor and, if needed, update trip volume estimates in light of

changing land use and socioeconomic characteristics.  Since trip

generation estimating relationships are usually derived from cross-

sectional data for one period in time, and are subject to change

with time, it is also extremely important that the relationships be

evaluated periodically.



DATA REQUIREMENTS



Since trip generation supplies the direct link between travel and

changes in the land use pattern it is necessary to periodically

evaluate the relationships for stability.  Additionally, the

changing character and intensity of land use must be accounted for.



The intensity and character of land use in a study area are

continually undergoing transformation.  The most dramatic example

can be seen in the central business district of most any city in

the country.  Small, old office buildings give way to parking lots

sandwiched between two surviving buildings which eventually yield

to the forces of time in the same fashion.  After a brief

existence, the parking lot becomes the site of a large modern

office building.  Changing character and intensity of residential

land is just as evident.  Small apartment houses are replaced with

higher ones, resulting in a considerable increase in residential

density.  In the newer areas vacant land is utilized in developing

commercial and residential land uses.



The procedure for trip generation described in Chapter II is

efficient concerning data requirements for monitoring and

surveillance.  For residential trip generation, the land use and

socioeconomic forecasts include the number of dwelling units and

income.  For non-residential generation, the forecasts required are

dwelling units, employment and school enrollment.  The need for

updating this information is primarily a function of the age and

growth pattern of a metropolitan area.  In older cities



                                    - 66 -



actual updating may not be as critical as in rapidly growing urban

areas.  This does not however alleviate the need for adequate and

timely evaluations in all areas.  To stay abreast of travel demands

and changing land use activity in a dynamic and rapidly growing

area, evaluation of the forecast annually may not be too often.



In addition to application of trip generation rates to changing

land use patterns it is important to evaluate the trip generation

relationships.  For example, for some unknown reason the trip

making rate of a one car household with a $10,000 income may be

increasing.  The analyst should periodically evaluate the stability

of the developed relationships over time.  For the recommended

procedure the data requirements for monitoring change in the trip

generation relations may be limited to a small sample travel survey

coupled with site surveys of selected nonresidential land uses.



Significant research by the Transportation Center at Northwestern

University has probed several areas in an attempt to develop an

understanding of the relationship between nonresidential land use

and travel (11).  It was found, for example, that stratification of

nonresidential land use "parcels" into "major" and "minor" trip

attractors, with analysis conducted on each, would facilitate the

investigation of nonresidential trip generation.  For the study

area data that were used in the research, about 70 percent of the

trip ends were attracted to about 15 percent of the land use

parcels within the area.  If detailed site analysis were

concentrated on the relatively few land use activities that

comprise the "major" trip attractors, a means of monitoring

nonresidential trip generation would exist.



Findings in a continuing study by the California Department of

Transportation as well as by other States indicates that individual

site analysis is indeed feasible (12).  In this continuing effort,

which could well be the forerunner of future practice, traffic

counts are being taken at selected sites with a range of land use

characteristics.  The traffic counts on vehicles entering and

leaving the sites are related to characteristics of the sites to

obtain trip rates in terms of trips per employee, trips per unit of

floor area, etc.  Hourly recordings of traffic counts are being

obtained over a period of from two or three days a week.  This type

of



                                    - 67 -



study not only offers a more intensive analysis of the trip

attraction characteristics of major land uses, but permits an

investigation of trip generation rates by hour of the day and day

of the week.* Day-to-day variability in travel habits has long been

known to be a major contributor to the unexplained variance in trip

generation.  Although most site analysis has been done at non-

residential land uses, site analysis can be done for residential

areas such as apartment complexes, townhouse developments and

single family home communities.  The traffic count data collected

would be related to characteristics of the area as might be found

in census data.



CHECKS TO BE CONSIDERED



Trip generation procedures are critical at two stages of

transportation study reappraisal.  The first is during routine

review when traffic data are required for project planning and

design.  If land use activity differs significantly from that

originally projected then original trip generation estimates will

not be valid and the current land use and socioeconomic information

should be used for a new trip projection in those areas with

significant growth differences.  If the difference between the

original estimates and the revised trip estimates is significant

for the corridor in which the project is located, consideration

would be given to rerunning the whole chain of forecasting models

to obtain an updated forecast year assignment.  The analyst will

then be in a position to determine the effect of the difference in

the trip forecast on the system.



These steps indicate that continuing transportation studies

maintain selected land use and socioeconomic data on a current

basis through an adequate, on-going surveillance program, thus

assuring the ability to make evaluations of, or updates to, the

original forecasts.  In addition, estimates of the impact of

proposed changes in land use are often required.  Such information

should be readily available both for project planning and as a

"service" product of the continuing planning process.

___________________________



 *    Results of the compilation of such studies around the nation

      have been produced by the National Association of County

      Engineers (1), and the Maricopa Association of Governments

      (2).  An Institute of Traffic Engineers Technical Committee is

      currently compiling and analyzing rates from studies around

      the country in an on-going project (16).  Results should be

      available in 1975.



                                    - 68 -





A second stage occurs during a major review.  The need for more

extensive data than that obtained during routine review may be

indicated if original travel forecasting procedures are technically

inadequate by current standards or if the original procedures

cannot reproduce current travel patterns, as measured through a

system surveillance program.  Enough information, therefore, must

be Obtained so that existing models can be refined or, if

refinement is not possible, new models calibrated.  Because of both

the cost involved and the need for timely information, areawide

comprehensive home interview surveys are not necessarily

appropriate for supplying data for this refinement or model

updating function.  Site analysis may well supply the required

information.  If necessary, consideration may be given to a small

sample travel survey allowing cross classification analysis for

trip generation and other model inputs such as trip length

distributions.  Consideration should also be given to the

possibility of "borrowing" basic trip generation rates from other

(and similar) transportation studies.  See Appendix B and

references 1, 2 and 16 for examples.



                                    - 69 -







                                  APPENDIX A

                              FORECASTING INCOME



INTRODUCTION



Income is a key variable in the trip generation forecasting

procedure outlined in this manual and income forecasting can be a

difficult tool to use in the process unless precautions are

exercised along the way.  For example, the use of national and

regional stepped-down control totals will help to insure reasonable

forecasts.  Sources mentioned in the next section are available in

this regard.



In addition, location and density affect travel demand of a

household within any given income group.  It was suggested in the

main text and is suggested again here that measures of density be

used as a third independent variable in the forecasting process. 

Other factors that are becoming more important today and are

related to income are not so easily dealt with, however.  For

example, changes in family life style as measured by the effects of

energy constraints, inflation, and unemployment will all affect the

resources a family can spend on transportation,.  Although it is

difficult to precisely quantify these factors so that they may be

explicitly treated in trip generation forecasting, the resulting

effect of energy constraints on trip making has been noted in a few

cases (26,27).  As a minimum, however, the rather flexible and

understandable framework which is the basis for trip generation

technique provides the analyst the opportunity to easily test

alternative future conditions.  As time goes by and transportation

studies continually update their forecasts and data bases, new

values and additional information will be available to add to the

forecasting process.



SOURCES OF AVAILABLE DATA



There are useful income forecasts that are produced by Federal

agencies that may be used as a base.  These estimates are generally

available on an SMSA basis.  The most complete forecast has been

prepared by a joint effort of the Bureau of Economic Analysis of

the Department of Commerce and the Economic Research Service of the

Department of Agriculture for the U.S. Water Resources Council

(15).  The data are contained in a seven-volume set and include

historical and projected measures of population, employment,

personal income and earnings for States, Economic Areas, Standard

Metropolitan Statistical Areas (SMSA's), and Water Resource

Regions.  Volume V contains SMSA



                                    - 71 -











projections and is a good source of estimated per capita income

($1967), based on Series 'E' population projections, through the

year 2020.  The volume contains tables for each of 253 SMSA's, the

United States, and the sum of SMSA's.  An example is shown in Table

17.  Similar information is contained in another Bureau of Economic

Analysis publication: "Area Economic Projections, 1990" (17).





The above source provides areawide statistics on income which must

be stratified by geography (i.e., zones).  The census data provides

a source for such a process at least on a historical basis.  The

PC(l) series for each State provides income distribution data for

SMSA's, urbanized areas and places and is available every ten

years.  In the 1970 census the number of families and -unrelated

individuals in each of the following income ranges was provided:

less than $1,000, 1,000-$1,999, 2,000-$2,999, 3,000-$3,999, 4,000-

$4,999, 5,000-$5,999, 6,000-$6,999, 7,000-$7,999, 8,000-$8,999,

9,000-$9,999, 10,000-$11,999, 12,000-$14,999, 15,000-$24,999,

25,000-$49,999, $50,000 and more.  Also included are the median and

mean incomes.  For the procedure to be described the ranges above

$10,000 should be stratified into $1,000 groupings up to about 20-

$25,000.  This can be done by plotting cumulative curves from the

data given and entering the cumulative curve to obtain income in

$1,000 increments.



                                    - 72 -









Click HERE for graphic.



                                     -73-

BASIS FOR PROCEDURE



The following forecasting procedure is based upon using an income

projection for an entire study area and the distribution of

families by income class for the area under study.  A review of

income data indicates a change in the distribution of families by

income class as time progresses.  Figure 17 shows the distribution

of families by total family income for the periods 1951, 1961 and

1971 for the United States based upon constant 1971 dollars.  It is

clear that the proportion of families in the lower income ranges is

decreasing and that the proportion of families in the higher income

ranges is increasing.  The curves indicate that the rate of income

growth experienced by families in the lowest income class is

greater than in the higher income classes.





Click HERE for graphic.





FIGURE 17  DISTRIBUTION OF FAMILIES BY TOTAL FAMILY INCOME IN

           CONSTANT 1971 DOLLARS



A study completed by the New York State Department of

Transportation indicates that for the lowest income class (0-

$2,999) the rate of income growth is about 1.5 times that for the

$10,,000-$14,999 income class (18) . Another characteristic found

in this study is that the percent of income in quintiles of the

population remains relatively stable.  For the U.S. between 1960

and 1969, approximately 5% of total income is within the first 20%

of the population, 12% within the next 20%, 18% within the third

quintile and 24 and 41 percent respectively 'in the fourth and

fifth quintiles.  These characteristics and the sources mentioned

previously provide a method for forecasting future distributions of

income.



                                    - 74 -



INCOME FORECASTING EXAMPLE



To illustrate the process Figure 18 and table 18 present example

data for an urbanized area.  The Figure shows the percent of

families within $1,000 income ranges as may be obtained from the

Census PC(l) series.



                                   Table 18

                        EXAMPLE DATA INCOME FORECASTING



           Percent     Accum.     Percent     Accum.

           1960        Percent    1970        Percent

$ in       Fami-       1960       Fami-       1970

Thousands  lies        Fam.       lies        Families



0-1        14.56       14.56      2.70          2.70

1-2        15.22       29.78      5.40          8.10

2-3        14.35       44.13      6.84         14.94

3-4        13.48       57.61      7.92         22.86

4-5        11.74       69.35      8.46         31.32

5-6        9.57        78.92      8.64         39.96

6-7        6.09        85.01      8.46         48.42

7-8        4.13        89.14      8.10         56.52

8-9        3.04        92.18      7.20         63.72

9-10       1.52        93.70      6.30         70.02

10-11      1.08        94.78      5.40         75.42

11-12      .87         95.65      4.50         79.92

12-13      .54         96.19      3.78         83.70

13-14      .48         96.67      2.88         86.58

14-15      .43         97.10      2.34         88.92

15-16      .39         97.49      2.16         91.08

16-17      .32         97.81      1.62         92.70

17-18      .26         98.07      1.26         93.96

18-19      .21         98.28      0.94         94.90

19-20      .17         98.45      0.90         95.80

20 +       1.55        10.000     4.20        100.00





Table 18 presents the same data along with the accumulated percent

of families.  The first step in the forecast is to adjust the 1960

income distribution to a 1970 dollar base.  This is done utilizing

the consumer price index (19).  An example table for the U. S. is

shown as Table 19. This table shows 1971 as the base.  To convert

to another year as a base, divide all the values in the table by

the index for the year desired to be the base and multiply by 100. 

To convert to a 1970



                                    - 75 -



Click HERE for graphic.





FIGURE 18  ADJUSTMENT OF 1960 CURRENT DOLLARS TO 1970 CONSTANT

           DOLLARS



                                    - 76 -











base all values would be divided by 95.9. To convert the example

1960 income distribution, the price index would be developed as

[(73.1/95.9) x 100] = 76.2. The data shown in Table 19 is also

available by major city or Standard Metropolitan Statistical area

(19).



                                   Table 19

                             Consumer Price Index

                                  1971 = 100



YEAR       INDEX       YEAR  INDEX      YEAR  INDEX       YEAR       INDEX



1947       55.2        1953  66.0       1959  72.0        1965       77.9

1948       59.4        1954  66.4       1960  73.1        1966       80.1

1949       58.9        1955  66.1       1961  73.9        1967       82.4

1950       59.4        1956  67.1       1962  74.7        1968       85.9

1951       64.1        1957  69.5       1963  75.6        1969       90.5

1952       65.5        1958  71.4       1964  76.6        1970       95.9

                                                          1971       100.0





The adjustment factor to convert 1960 current dollars to 1970 base

dollars would be 100.00/76.2 = 1.31.



The above steps of converting the table value to a 1970 base are ,

however, not necessary to convert 1960 current dollars to 1970 base

dollars.  By entering any year as base Consumer Price Index Table,

the 1970 index would be divided by the 1960 index - in the above

table 95.9 divided by 73.1, to obtain the factor 1.31. Table 20

shows each range of income factored by 1.3 with the percent of

families in the new range taken from Table 18.  To obtain the

percent of families within the original $1,000 increment ranges,

the "Accumulated % of Families" from Table 20 would first be

plotted as shown in the top half of Figure . The curve would then

be entered at each $1,000 increment to obtain the % of families in

$1,000 ranges" as shown in the last column of Table 20 and as

plotted in the bottom half of Figure 18.  This figure shows for the

test city the change in the income distribution between 1960 and

1970 in constant 1970 dollars.  As can be seen there is a shift in

families from the lower income ranges to the higher incomes.



                                    - 77 -











                                   Table 20

              Income Forecasting - Adjustment for Cost of Living

                             1960 to 1970 Dollars



                 1960

                 $ Range

                 Adj. to                            % of

                 1970             Accum. %          Families

$ in             Dollars          of 1960           in $1,000

Thousands        (000's)          Families          Ranges



 0-1             0-1.31           14.56             12.0

 1-2             1.31-2.62        29.78             12.0

 2-3             2.62-3.93        44.13             11.6

 3-4             3.93-5.24        57.61             11.0

 4-5             5.24-6.55        69.35             10.0

 5-6             6.55-7.86        78.92             9.5

 6-7             7.86-9.17        85.01             8.0

 7-8             9.17-10.48       89.14             6.5

 8-9             10.48-11.79      92.18             5.0

 9-10            11.79-13.10      93.70             4.0

10-11            13.10-14.41      94.78             2.2

11-12            14.41-15.72      95.65             1.5

12-13            15.72-17.03      96.19             1.3

13-14            17.03-18.34      96.87             1.0

14-15            18.34-19.65      97.10             0.8

15-16            19.65-20.96      92.49             0.6

16-17            20.96-22.27      97.81             0.5

17-18            22.27-23.58      98.07             0.4

18-19            23.58-24.89      98.28             0.3

19-20            24.89-26.20      98.45             0.2

20 +                              100.00            1.6



To forecast 1990 incomes, a 3% annual real income growth rate is to

be used for the example.  The value for an actual city would be

locally developed or obtained from a source such as the one shown

in Table 17.



Table 21 and Figure 19 illustrate the forecasting of as 1990 income

distribution.  An initial assumption is made that the lower income

families will grow at a faster rate than the higher incomes.  For

the example shown, 4.0% is utilized for the lower incomes up to

$4,000 which accounts for about 23% of the population. 3.5% is used

for the range $4,000-$7,000 which accounts for about 25% of the

population.  Three percent is used for the range $7,000-$14,000

(38%).  To calculate the percent for



                                    - 78 -





the last range such that the average will equal 3% the following is

used.  As a generality, 5%, 12%, 18%, 24%, and 41% is the

distribution of income by quintiles of the population.  A 4.00%

growth is used for the first quintile, a 3.50% increase for

approximately the second quintile, a 3.00% increase for a little

more than the third and fourth quintiles.  To obtain the fifth

quintile value the following approximation is used:



      .05(4.00) + .12(3.5) + .42(3.0) + .41(x) = 3.0

      .02 + .42 + 1.26 + .41x = 3

                       .41x = 1.12; x = 2  2.73 use 2 3/4%



The above choice of growth factors for each quintile is based upon

judgement and a review of income distribution changes over the

years for the area under study, Should the results of the choice

not be suitable, another set of factors would be chosen and tried. 

The percent growth rate is converted to a factor as shown in the

"Factor" column of Table 21 by a table look-up in a compound

interest table with 20 years and the growth rate used, A new range

is determined by multiplying the "Income Range" in the first column

of Table 21 by the "Factor The "Accumulated Families" is then

plotted against the "Factored Range" as shown in the top half of

Figure 19.



                                   Table 21

                            1990 Income Calculation

                 

           1970                                                      %

           Income                                                    Fam.

Income     Distrib.               %                                  in

Range      % of        Accum.     Increase                Fact.      $1,000

$(000's)   Families    Families   (3% avg.)   Factor      Range      Ranges



 0-1       2.70        2.70       4.00        2.19        0-2.19     1.0

 1-2       5.40        8.10       4.00        2.19        -4.38      1.6

 2-3       6.84        14.94      4.00        2.19        6.57       2.0

 3-4       7.92        22.86      4.00        2.19        8.76       2.3

 4-5       8.46        31.32      3.50        1.99        9.95       3.0

 5-6       8.64        39.96      3.50        1.99        11.94      3.4

 6-7       8.46        48.42      3.50        1.99        13.92      3.9

 7-8       8.10        56.52      3.00        1.81        14.48      4.2

 8-9       7.20        63.72      3.00        1.81        16.29      4.4

 9-10      6.30        70.02      3.00        1.81        18.10      5.2

10-11      5.40        75.42      3.00        1.81        19.91      5.6

11-12      4.50        79.92      3.00        1.81        21.72      6.0

12-13      3.78        83.70      3.00        1.81        23.53      5.9

13-14      2.88        86.58      3.00        1.81        25.34      5.4

14-15      2.34        88.92      2.75        1.72        25.80      4.6

15-16      2.16        91.08      2.75        1.72        27.52      4.0

16-17      1.62        92.70      2.75        1.72        29.24      3.5

17-18      1.26        93.96      2.75        1.72        30.96      3.0

18-19      0.94        94.90      2.75        1.72        32.68      2.6

19-20      0.90        95.80      2.75        1.72        34.40      2.3

20 +       4.20        100.00     2.75        1.72        --         26.1



                                    - 79 -









Click HERE for graphic.





FIGURE 19  1990 INCOME DISTRIBUTION FORECAST (1970 DOLLARS).



                                    - 80 -











This accumulated curve is then entered at $1,000 increments to

obtain the values for the last column "% Families in $1,000

ranges".  These values can then be plotted as shown in the bottom

half of Figure 19.



The median incomes can be obtained directly from the plotted curves

as shown in Figure 19.  The mean income is calculated by

multiplying the number of families in each income range by the mean

income of the range, summing these values and dividing by the

number of families.  The mean income for the example case is shown

to have increased annually by the assumed 3 % .



If the resultant curve from the previous calculations does not

"look" like it fits the previous trends (in this case 1960 and

1970), the distribution can now be modified by adjusting the growth

rates used and re-calculating the distribution.  Once-an acceptable

areawide distribution is obtained, individual zonal incomes may be

forecast.





APPLICATION TO ZONAL INCOMES



Although the previous discussion has been based upon family income

(the unit for which income is provided by census), households or

dwelling units are the units usually considered in transportation

planning since these are the units generally used in collecting

travel data.  The income growth factors as developed above for

families should be applicable to zonal incomes by household or

dwelling unit as described here.



The growth rates determined for use (See Table 21) are now applied

to 1970 average incomes by zone (or by household or groups of

households within zone if such is available and household incomes

are desired).  The proper growth factor is applied to corresponding

incomes.  For example, 1970 zonal incomes between $0 and $4,000 are

factored by 2.19 to obtain 1990 average zonal incomes in the

illustration used.  Once factors are applied to all cases, a

distribution similar to Figure 19 may be drawn to check the

results.  Minor adjustments may now be required to assure the

desired number of households within each income range.



                                    - 81 -







The income forecasting procedure described allows the forecasting

of a mean household income.  There are situations where an income

distribution would be useful, and in fact, the trip generation

procedure described can be structured to be applicable to a

classification of households by income within a zone.  Some work

has been undertaken by FHWA to evaluate a distribution of income

relationship with mean income.  Figure 20 shows the results for one

SMSA, Reading, Pennsylvania.  Income has been structured into low,

medium and high based upon the ranges: under $8,000, 8,000-$12,000

and above $12,000 respectively.  The data points used were by

tract.  The source of the data was the 1970 Census of Population

and Housing PHC(l)-171 series.





Click HERE for graphic.





FIGURE 20  INCOME DISTRIBUTION BY TRACT IN LOW, MEDIUM & HIGH INCOME

           RANGES.



                                    - 82 -











                                  APPENDIX B

        A COMPENDIUM OF HOUSEHOLD TRIP GENERATION RATES AND INCOME/AUTO

                            OWNERSHIP RELATIONSHIPS



INTRODUCTION



The technical transportation planning process has evolved into a

relatively complex and sophisticated set of procedures.  Much

criticism has been aimed at the fact that this process is too

cumbersome to provide appropriate answers to planning questions

within a reasonable time limit.  The criticism generally is

directed at two major problem areas: (1) The need to perform

updates to the planning process quickly so that a continuing long-

range planning program is maintained and (2) the need to provide

"overnight" answers to short-range and project planning questions.



The simplified trip generation analysis described in this manual is

intended to help alleviate these problems.  As an additional step,

a number of transportation studies are moving toward synthesizing

internal travel by "borrowing" data for certain parameters from

other study areas as a means of reducing the resource requirements

of the planning process.  Synthesis has been relatively widespread

among the small urban areas (under 50,000 population) for sometime. 

From recent work by the Federal Highway Administration (FHWA) and

several States, and as a result of 1970 census data, the

feasibility of synthesizing urban travel for larger areas has

become promising.  This appendix is included to provide basic trip

generation relationships following the recommended approach in this

manual.  Such relationships (both trips per household and

income/auto ownership) are intended to serve as a supplemental

source for comparison with locally developed relationships or as

default or "fall back" relationships for synthesis.



The appendix is divided into two parts: (1) Household trip

generation rates based on home interview data, and (2) income/ auto

ownership relationships.  The household rates are based on data

obtained from transportation study home interviews around the

country and from published reports.  Notes accompanying each set of

rates give further explanation and source information.  The user

should be cautioned, however, that in some cases the rates have not

been adjusted for any possible underreporting in the individual

home interview survey.* The

___________________________



 *    The reader is referred to comments on adjustments for under-

      reporting on page 58.



                                    - 83 -











income/auto-ownership relationships, shown as curves, were

developed from Part II data in over 70 special Urban Transportation

Planning Packages prepared by the Census Bureau (7).  The curves

have been grouped for easier application.



A third source of trip rate data is a set of individual land use

activity trip generation rates from various studies around the

country (2).  Work along similar lines by the Institute of Traffic

Engineers will result in additional trip rate data based on studies

conducted by State and local agencies at about 1000 individual

sites around the country (16).  The reader is referred to these

sources for trip rates, particularly non-residential rates.



HOUSEHOLD TRIP GENERATION RATES



                 NATIONWIDE PERSONAL TRANSPORTATION STUDY 1969

                       TOTAL PERSON TRIPS PER HOUSEHOLD



                             Autos   

Income           0           1          2           3+ 

 0-2,999         1.1         3.5        5.5         --

 3-3,999         2.2         4.8        8.9          --

 4-4,999         2.2         5.8        9.3         12.0

 5-5,999         2.4         5.3        7.8         12.3

 6-7,499         2.8         6.5        8.0         10.6

7.5-9,999        3.2         7.3        9.3         12.8

 10-14,999       2.8         7.0        8.7         12.1

 15+             3.3         6.1        10.5        13.0



      Note: 1. Table obtained from Report 11, page 56, Table 26.



                                    - 84 -









           CAGUAS, PUERTO RICO, METRO AREA TRANSPORTATION STUDY 1973

                        AUTO DRIVER TRIPS PER HOUSEHOLD

                              Population - 65,844



                             Autos     

Income           0           1                2+



0-1,999          -           2.8              -

2-3,999          0.2         2.8              5.2

4-7,999          0.2         2.8              5.8

8-11,999         -           3.2              6.3

12-15,999        -           3.7              6.9

16-19,999        -           4.1              7.5

20-22,999        -           4.2              7.7

23  +            -           4.2              7.7



Note:      1.    Table developed by Urban Planning Division, FHWA

                 (Table obtained from Technical Memoranda).

                 2.    Table developed from data in "Caguas (Puerto

                       Rico) Metropolitan Area Transportation Study

                       Technical Memoranda - Trip Generation."





                        CHARLOTTE, NORTH CAROLINA 1969

                       TOTAL PERSON TRIPS PER HOUSEHOLD

                             Population - 279,530



                                     Autos

Income           0           1                2+

0-2,999          1.9         4.9              7.3

3-4,999          2.5         5.6              7.4

5-5,999          3.7         6.1              8.9

6-6,999          4.1         6.8              8.7

7-7,999          -           6.8              9.3

8-8,999          -           7.3              9.2

9-9,999          -           8.2              9.5

10-14,999        -           8.2              10.4

15+              -           7.8              11.7



Note:      1.    Trips not adjusted for under-reporting.

                 2.    Table obtained from Charlotte-Mecklenburg Urban

                       Area Transportation Study, Report: Mathematical

                       Modeling, North Carolina State Highway

                       Commission.



                                    - 85 -



                            DETROIT, MICHIGAN 1965

                     TOTAL AUTO-DRIVER TRIPS PER HOUSEHOLD

                            Population - 3,970,584



                                     Autos

Income           0           1          2           3+ 

0-2,999          0.05        2.08       4.31        5.50

3-5,999          0.07        3.32       5.25        9.38

6-7,999          0.20        4.32       6.18        7.90

8-9,999          0.22        4.65       6.98        9.63

10-14,999        0.33        5.05       7.40        11.35

15+              0.0         4.91       8.44        11.34





                             FLINT, MICHIGAN 1966

                       TOTAL PERSON TRIPS PER HOUSEHOLD

                              Population 447,767



                                     Autos

Income           0           1          2           3+ 

0-1,999          1.23        4.57       9.22        -  

2-4,999          2.58        7.82       11.28       -  

5-6,999          4.27        9.41       12.05       15.96

7-9,999          4.10        11.54      11.76       19.00

10-14,999        2.33        10.93      15.04       20.99

15+                          13.38      17.91       21.63



      Note:      1.    Trips adjusted for under-reporting.

                 2.    No raw data available.

                 3.    Table obtained from Michigan Department of

                       State Highways and Transportation.



                                    - 86 -



                           FRESNO-CLOVIS, CALIFORNIA

                TOTAL PERSON TRIPS PER HOUSEHOLD (EXCL.  WALK)

                             Population - 262,908



                                     Autos

Income           0           1          2           3+ 

0-2,999          1.42        6.59       11.44       13.31

3-3,999          2.52        9.68       14.03       18.58

4-4,999          3.76        10.59      12.83       10.83

5-5,999          2.10        10.18      17.63       23.44

6-6,999          2.25        10.32      14.59       19.31

7-7,999          1.20        11.84      15.50       21.39

8-8,999          21.40       14.18      12.85       18.36

9-9,999          7.10        12.11      19.14       16.03

10-12,499        13.10       12.46      17.32       22.37

12.5-14,999      1.40        9.25       20.26       25.89

15-19,999        4.00        12.76      18.99       21.12

20-24,999        2.80        14.63      20.11       23.93

25+              -           14.76      17.98       27.36



Note:      1.    Trips adjusted for under-reporting

                 2.    Table obtained from California DOT.





                            HOLLAND,-MICHIGAN 1967

                       TOTAL PERSON TRIPS PER HOUSEHOLD

                               Population 57,300



                                     Autos

Income           0           1          2           3+ 

0-1,999          0.24        5.83       11.38       -  

2-4,999          2.87        7.03       14.47       -  

5-6,999          3.14        13.85      16.41       16.63

7-9,999          3.20        15-13      18.19       25.17

10-14,999        -           16.14      19.24       27.38

15+              10.50       19.69      22.13



Note:      1.    trips adjusted for under-reporting.

           2.    No raw data available.

           3.    Table obtained from Michigan Department of State

                 Highways and Transportation.



                                    - 87 -







                         IRON MOUNTAIN, MICHIGAN 1968

                       TOTAL PERSON TRIPS PER HOUSEHOLD

                               Population 21,100



                                     Autos

Income           0           1          2           3+ 

0-2,999          1.68        7.60       12.53       -  

3-4,999          2.65        11.34      17.26       26.33

5-6,999          6.99        15.43      20.12       22.20

7-9,999          -           19.47      24.37       29.65

10-15,999        -           18.06      24.32       28.74

16+              -           21.13      22.56       27.89



Note:      1.    Trips adjusted for under-reporting.

                 2.    No raw data available.

                 3.    Table obtained from Michigan Department of

                       State Highways and Transportation.





                            JACKSON, MICHIGAN 1967

                       TOTAL PERSON TRIPS PER HOUSEHOLD

                              Population 105,970



                                     Autos

Income           0           1          2           3+ 

0-1,999          0.86        6.22       9.08        -  

2-4,999          1.89        9.80       15.06       17.47

5-6,999          2.71        13.17      16.58       24.02

7-9,999          5.10        16.88      21.24       25.44

10-14,999        -           18.90      21.42       32.70

15+              -           20.25      26.12       27.41



Note:      1.    Trips adjusted for under-reporting.

           2.    No raw data available.

           3.    Table obtained from Michigan Department of State

                 Highways and Transportation.



                                    - 88 -



               MIAMI, FLORIDA (SOUTHEAST FLORIDA REGIONAL STUDY)

                  1973 HONE BASED PERSON TRIPS PER HOUSEHOLD

                        (Single Family Dwelling Units)

                            Population - 1,219,661



                                     Autos

      Family

      Size       0           1          2+

      1          1.0         2.9        5.6

      2          1.9         4.5        5.9

      3          2.9         6.2        7.7

      4          4.1         8.5        10.7

      5          5.8         10.2       13.7



                         (Multi Family Dwelling Units)



                                     Autos

      Family

      Size       0           1          2+

      1          1.18        2.75       3.55

      2          1.75        4.60       5.90

      3          2.80        6.10       8.25

      4          4.20        7.50       9.70

      5          5.70        10.00      10.15



Note:      1.    Table obtained from data in memorandum dated

                 12/19/74.





                            MIDLAND, MICHIGAN 1969

                       TOTAL PERSON TRIPS PER HOUSEHOLD

                               Population 51,600



                                     Autos

           Income      0          1           2           3+ 

      0 - 2,999        2.92       6.75        11.50       -  

      3 - 4,999        2.45       8.51        13.33       -  

      5 - 6,999        2.98       12.35       18.06       -  

      7 - 9,999        9.12       14.56       18.83       22.88

      10 - 15,999      13.91      17.14       20.64       27.74

      1.6+             -          17.72       23.62       23.56



Note:      1.    Trips adjusted for under-reporting.

           2.    No raw data available.

           3.    Table obtained from Michigan Department of State

                 Highways and Transportation.



                                    - 89 -



                        MODESTO-STANISLAUS, CALIFORNIA

                TOTAL PERSON TRIPS PER HOUSEHOLD (EXCL.  WALK)

                             Population - 106,107





                                     Autos

      Income           0          1           2           3+ 

      0 - 2,999        1.17       6.69        10.49       13.56

      3 - 3,999        1.60       8.25        10.18       14.38

      4 - 4,999        2.38       10.44       10.82       12.26

      5 - 5,999        5.04       11.17       13.96       16.15

      6 - 6,999        0.52       9.53        16.12       18.67

      7 - 7,999        0.70       9.91        19.19       21.52

      8 - 8,999        -          12.89       16.23       19.73

      9 - 9,999        -          12.40       13.81       20.10

      10 - 12,499      -          13.15       16.68       19.96

      12.5 - 14,999    -          13.66       18.07       21.27

      15 - 19,999      -          10.92       17.48       20.66

      20 - 24,999      -          10.45       16.08       24.00

      25+              -           9.46       17.67       24.40



Note:      1.    Trips adjusted for under-reporting.

           2.    No raw data available.

           3.    Table obtained from California DOT.





                   NEW YORK CITY (TRI-STATE REGION) 1963-64

                       TOTAL PERSON TRIPS PER HOUSEHOLD

                                Unlinked Trips

                             Population 16,206,841



                                              Autos

           Income      0          1           2           3+ 

      0 - 3,999        1.50       3.47        6.49        15.06

      4 - 7,499        3.10       5.39        8.93        13.16

      7.5 - 9,999      4.31       7.07        10.35       14.01

      10 - 14,000      4.73       8.08        10.90       13.25

      15+              4.54       9.20        12.11       14.58



                                    - 90 -



                        PHILADELPHIA, PENNSYLVANIA 1960

                       TOTAL PERSON TRIPS PER HOUSEHOLD

                             Population 4,021,066





                                     Autos

      Income           0          1           2           3+ 

      0 -  1,999       0.65       2.52        5.45        5.17

      2 -  2,999       1.24       3.19        5.39        8.64

      3 -  3,999       1.80       3.94        6.36        8.26

      4 -  4,999       2.30       4.52        6.61        7.41

      5 -  6,499       2.74       5.33        7.10        8.83

      6.5 - 7,999      3.23       5.88        7.81        9.40

      8 -  9,999       3.66       6.38        8.36        9.89

      10 - 14,999      4.18       6.67        8.65        10.11

      15 - 24,999      3.17       6.61        9.40        11.88

      25+              0.56       4.87        8.44        10.74



Note:      1.    Table obtained from "Interim Report on Trip

                 Generation" by Creighton, Hamburg, Inc., July 19,

                 1974.





                          SACRAMENTO, CALIFORNIA 1970

                       TOTAL PERSON TRIPS PER HOUSEHOLD

                             Population - 633,732





                                     Autos

      Income           0          1           2           3+ 

      0 - 2,999        1.24       4.66        6.00        5.40

      3 - 3,999        2.10       5.30        8.67        8.00

      4 - 4,999        2.42       6.12        9.12        8.50

      5 - 5,999        2.75       6.63        11.16       10.71

      6 - 6,999        4.78       7.12        9.26        12.14

      7 - 7,999        3.94       7.61        9.47        12.11

      8 - 8,999        7.00       8.39        9.52        12.80

      9 - 9,999        7.60       9.67        11.18       14.07

      10 - 12,499      5.38       9.16        11.13       15.41

      12.5 - 14,999    5.11       9.53        12.11       17.01

      15 - 19,999      4.64       8.77        11.84       16.32

      20 - 24,999      15.00      10.51       11.54       15.53

      25+              6.75       9.24        12.00       13.62



Note:      1.    Trips adjusted for under-reporting.

           2.    Table obtained from California DOT.



                                    - 91 -



                         SALINAS-MONTEREY, CALIFORNIA

                 TOTAL-PERSON TRIPS PER HOUSEHOLD (EXCL. WALK)

                              Population - 62,456



                                     Autos

      Income           0          1           2           3+ 

      0 - 2,999        1.13       5.24        9.51        12.35

      3 - 3,999        2.08       7.66        10.67       17.20

      4 - 4,999        2.25       8.21        11.31       12.40

      5 - 5,999        2.32       8.59        16.90       23.36

      6 - 6,999        2.42       9.34        11.81       24.57

      7 - 7,999        1.80       11.76       15.75       26.93

      8 - 8,999        4.69       10.36       13.81       21.79

      9 - 9,999        4.04       11.70       16.37       15.80

      10 - 12,499      4.20       11.59       18.91       23.26

      12.5 - 14,999    -          12.87       16.99       30.67

      15 - 19,999      -          10.42       15.19       24.18

      20 - 24,999      -          10.72       16.81       25.68

      25+              -          10.37       15.25       25.49



Note:      1.    Trips adjusted for under-reporting

           2.    Table obtained from California DOT.





                            SAN ANGELO, TEXAS 1964

                       TOTAL PERSON TRIPS PER HOUSEHOLD

                              Population - 63,884



                                     Autos

      Income           0          1           2           3+ 

      0 - 4,999        1.1        5.8         9.6         15.3

      5 - 6,999        3.6        8.6         11.7        15.9

      7 - 9,999        5.0        10.0        12.7        16.6

      10 - 14,999      6.3        10.8        13.6        17.6

      15+              7.0        11.5        13.9        17.8



                     TOTAL AUTO-DRIVER TRIPS PER HOUSEHOLD



                                     Autos

      Income           0          1           2           3+ 

      0 - 4,999        0.3        3.7         6.6         11.3

      5 - 6,999        1.7        5.6         8.1         12.3

      7 - 9,999        3.0        6.8         9.1         13.1

      10 - 14,999      4.3        7.5         9.9         14.0

      15+              4.8        8.1         10.3        14.2



Note:      Tables obtained from Technical Report dated October 1974.



                                    - 92 -







                             SAN DIEGO, CALIFORNIA

                       TOTAL PERSON TRIPS PER HOUSEHOLD

                             Population 1,198,323



                                     Autos

      Income           0          1           2           3+ 

      0 - 2,999        1.10       3.58        7.36        8.88

      3 - 3,999        2.14       4.98        8.59        12.14

      4 - 4,999        3.12       6.34        9.56        15.90

      5 - 5,999        2.75       6.79        10.21       12.90

      6 - 6,999        1.70       6.88        10.64       12.10

      7 - 7,999        1.73       8.35        11.85       15.04

      8 - 8,999        2.21       8.15        13.22       16.46

      9 - 9,999        3.38       8.23        12.56       14.28

      10 - 12,499      1.75       9.17        12.84       16.56

      12.5 - 14,999    1.31       8.77        12.65       17-10

      15 - 19,999      1.55       9.61        13.14       30.60

      20 - 24,999      5.71       8.00        13.66       19.04

      25+              --         8.05        15.81       14.64



Note:      1.    Trips adjusted for under-reporting.

           2.    Table obtained from California DOT.





                        TEXARKANA, ARKANSAS-TEXAS 1965

                       TOTAL PERSON TRIPS PER HOUSEHOLD

                              Population - 58,570



                                     Autos

      Income           0          1           2           3+ 

      0 - 4,999        2.2        7.0         10.4        12.2

      5 - 6,999        3.4        9.0         11.9        13.7

      7 - 9,999        4.6        10.8        13.4        15.0

      10 - 14,999      6.0        13.0        15.7        17.0

      15+              6.4        14.0        17.2        19.0



                                    - 93 -



                              TEXARKANA (CONTD.)

                     TOTAL AUTO-DRIVER TRIPS PER HOUSEHOLD



                                     Autos

      Income           0          1           2           3+ 

      0 - 4,999        0.1        4.0         7.0         8.3

      5 - 6,999        0.6        5.4         8.3         9.9

      7 - 9,999        0.9        6.6         9.4         11.4

      10 - 14,999      1.6        8.2         11.1        13.2

      15+              2.0        9.3         12.2        15.4



Note:      1.    Tables obtained from Technical Report, October 1973.





                         TRAVERSE CITY, MICHIGAN 1966

                       TOTAL PERSON TRIPS PER HOUSEHOLD

                              Population - 23,100



                                     Autos

      Income           0          1           2           3+ 

      0 - 1,999        0.61       6.70        11.49        -  

      2 - 4,999        1.56       13.22       14.21       -  

      5 - 6,999        4.47       16.97       21.09       26.90

      7 - 9,999        -          20.48       25.90       39.28

      10 - 14,999      -          20.30       26.82       32.11

      15+              -          18.78       30.57       37.62



Note:      1.    Trips adjusted for under-reporting.

           2.    No raw data available.

           3.    Table obtained from Michigan Department of State

                 Highways and Transportation.



                                    - 94 -



                             WASHINGTON, D.C. 1968

                       TOTAL PERSON TRIPS PER HOUSEHOLDS

                             Population 2,481,489



                                     Autos

      Income           0          1           2           3+ 

      0 - 2,999        1.29       2.70        5.14        5.08

      3 - 3,999        1.58       3.02        4.63        14.33

      4 - 5,999        2.16       3.88        6.17        9.78

      6 - 7,999        2.47       4.64        6.78        10.03

      8 - 9,999        2.97       5.04        7.29        10.09

      10 - 11,999      3.28       5.37        7.61        10.58

      12 - 14,999      3.50       6.18        8.04        10.74

      15 - 19,999      4.12       6.10        8.16        11.22

      20 - 24,999      3.04       6.12        8.59        10.88

      25+              2.42       5.32        8.85        11.32



Note:      1.    Trips not adjusted for under-reporting.

           2.    Table developed by Urban Planning Division, FHWA.





                           WICHITA FALLS, TEXAS 1964

                       TOTAL PERSON TRIPS PER HOUSEHOLD

                               Population 97,564



                                     Autos

      Income           0          1           2           3+ 

      0 - 4,999        3.6        6.4         11.6        17.7

      5 - 6,999        4.1        9.7         12.9        18.5

      7 - 9,999        5.0        11.1        14.6        19.2

      10 - 14,999      5.4        11.4        15.6        20.1

      15+              5.4        12.9        16.2        20.5



                     TOTAL AUTO-DRIVER TRIPS PER HOUSEHOLD

                                     Autos

      Income           0          1           2           3+ 

      0 - 4,999        0.6        3.9         7.4         12.2

      5 - 6,999        1.3        6.0         8.4         13.0

      7 - 9,999        1.7        7.0         9.7         14.0

      10 - 14,999      2.1        7.7         10.5        15.2

      15+              2.3        8.7         11.6        15.8



Note:      1.    Table obtained from Technical Report, January 1974.



                                    - 95 -



INCOME/AUTO OWNERSHIP RELATIONSHIPS



The following curves were developed from data in over 70 special

Census Urban Transportation Planning Packages for various cities

across the country.  The curves were handfitted and smoothed

through the data points available from the cross-tabulation in the

census packages.  The data points have, however, been left on the

plots.



To facilitate their use, the curves have been grouped first by

urbanized area population in the following categories:



                                50,000 - 100,000

                               100,000 - 250,000

                               250,000 - 750,000

                               750,000 +       



The curves were then arrayed (low to high) by urbanized area

density (population per square mile) within each population

grouping.  A listing of each area with densities in population

groupings is given in Table 22.



Other factors in addition to density and population should be

considered in choosing the appropriate curve.  These would include

the type of metropolitan area (commercial or industrial, relative

per capita income, blue collar/white collar split of employment,

etc.), location of the- area, age of the area, etc.



The following symbols are used throughout this set of curves:



                                  0 cars = O

                                   1 car = 

                                  2 cars = X

                                3+ cars =  Box



Urbanized area population and density is shown on each curve.



                                    - 96 -



                                   Table 22

                     Income/Auto Ownership Relationships-

                    Cities Sorted by Population and Density

                                       

Population             Density

50,000-100,000         (Persons

                       Per

                       Square Mile)



Gadsden, Al.           1,231      Stockton, Ca.           3,410

Fitchburg-                        Santa Barbara, Ca.      3,510

Leominster, Ma.        1,282      Eugene, Or.             3,672

Highpoint, N.C.        1,789      Ann Arbor, Mi.          3,968

Mansfield, Oh.         1,883      Erie, Pa.               3,987

Santa Rosa, Ca.        1,969      Reading, Pa.            4,086

Hamilton, Oh.          2,385

Salem, Or.             2,510         250,000-750,000

Lima, Oh.              2,593

Billings, Mt.          2,643      Mobile, Al.             1,534

Bay City, Mi.          3,014      West Palm Beach, Fl.    2,114

Great Falls, Mt.       3,232      Springfield-Chicopee-

Dubuque, Ia.           3,432      Holyoke, Ma.            2,159

Johnstown, Pa.         3,444      Grand Rapids, Mi.       2,416

Fargo-Moorhead,                   Birmingham, Al          2,478

  N.D. - Mn.           3,560      Sacramento, Ca.         2,592

Springfield, Oh.       3,742      Akron, Oh.              2,660

Altoona, Pa.           4,061      Tucson, Az.             2,801

Lafayette-W.                      Fort Lauderdale, Fl.    2,894

Lafayette, In.         4,172      Toledo, Oh.-Mi.         2,937

Salinas, Ca.           4,183      Dayton, Oh.             3,062

                                  Youngstown-Warren, Oh.  3,070

  100,000-250,000                 Austin, Tx.             3,076

                                  Omaha, Ne.              3,262

Lorain-Elyria, Oh.     1,812      Fresno, Ca.             3,330

Kalamazoo, Mi.         2,082      Wilmington, De.         3,376

Raleigh, N.C.          2,136      Louisville, Ky.         3,521

Winston-Salem, N.C.    2,171      Honolulu, Hi.           3,846

Oxnard-Ventura, Ca.    2,188      Trenton, N.J.           4,212

Columbia, S.C.         2,348

Greensboro, N.C.       2,495         750,000+

Savannah, Ga.          2,557

Brockton, Ma.          2,812      Atlanta, Ga.            2,695

Spokane, Wa.           2,964      San Diego, Ca.          3,141

Madison, Wi.           2,977      Providence, R.I.        3,259

Lancaster, Pa.         2,998      San Jose, Ca.           3,703

Harrisburg, Pa.        3,084      St. Louis, Mo.-Il.      4,085

Bakersfield, Ca.       3,090      Miami, Fl.              4,710

Modesto, Ca.           3,108      Buffalo, N.Y.           5,079

Lansing, Mi.           3,145      Chicago, Il.-In.        5,254

Canton, Oh.            3,169      Philadelphia, Pa.       5,346

York, Pa.              3,346



                                    - 97 -





Click HERE for graphic.





                                    - 98 -



Click HERE for graphic.





                                    - 99 -





Click HERE for graphic.





                                    - 100 -



Click HERE for graphic.





                                    - 101 -









Click HERE for graphic.





                                    - 102 -







Click HERE for graphic.





                                    - 103-





Click HERE for graphic.





                                    - 104 -









Click HERE for graphic.





                                    - 105 -



Click HERE for graphic.





                                    - 106 -







                         POPULATION 100,000 - 250,000







Click HERE for graphic.





                                    - 108 -



Click HERE for graphic.





                                    - 109-





Click HERE for graphic.





                                    - 110 -







Click HERE for graphic.





                                    - 111 -





Click HERE for graphic.





                                    - 112 -





Click HERE for graphic.





                                    - 113 -



Click HERE for graphic.





                                    - 114 -











Click HERE for graphic.





                                    - 115 -





Click HERE for graphic.





                                    - 116 -











Click HERE for graphic.





                                    - 117 -











Click HERE for graphic.





                                    - 118 -











Click HERE for graphic.





                                    - 119 -











                         POPULATION 250,000 - 750,000











Click HERE for graphic.





                                    - 121 -











Click HERE for graphic.





                                    - 122 -











Click HERE for graphic.





                                    - 123 -











Click HERE for graphic.





                                    - 124 -

















                                    - 125 -











Click HERE for graphic.





                                    - 126 -











Click HERE for graphic.





                                    - 127 -











Click HERE for graphic.





                                    - 128 -











Click HERE for graphic.





                                    - 129 -











Click HERE for graphic.





                                    - 130 -











Click HERE for graphic.





                                    - 131 -











Click HERE for graphic.





                                    - 132 -











Click HERE for graphic.





                                    - 133 -











Click HERE for graphic.





                                    - 134 -











Click HERE for graphic.





                                    - 135 -

















                                  APPENDIX C

                              TRAVEL FORECASTING



The procedures outlined in this manual are oriented to providing

estimates of trip ends under varying socioeconomic conditions.  It

is clear, however, that the number of trips produced in an area

does not give a complete picture of the total travel demand for the

area.  Other elements in the forecasting process must be brought

into play in order to obtain estimates of trip destination, mode,

and route choice, in addition to the trip frequency obtained from

the trip generation element.



In the course of activity in a transportation study these other

aspects of travel demand estimation will normally follow the trip

generation analysis and it is not until the end of the model

sequence that a measure of travel can be obtained.  It is

important, therefore, to be able to consider quickly and early the

impact of total travel, as measured by vehicle miles.  Vehicle

miles of travel (VMT) is a useful measure, in addition to trip

production, to gauge the impact of varying conditions and

combinations of policy alternatives.



With current concerns over energy consumption and restrictions on

travel, quick estimates of the extent of travel under different

alternatives is necessary.  The relationship of travel to

socioeconomic indicators has been shown (23).  Recent experience

and study has shown that income and auto ownership are two of the

strongest indicators of trips and travel in urban transportation

studies.  The relationship between income and car ownership shows a

high degree of stability across urban regions based on individual

urban origin-destination study data as well as data from the 1970

census (24).  This was demonstrated in Figure 9, page 36 and in

Appendix B. The same relationship, based on a nationwide sample,

also shows similar characteristics (25).  The interaction between

sampled household income and auto ownership is shown in Figure 21. 

One of the main attributes of the relationship is that it

incorporates the effects of auto ownership saturation, and the

attendant effect on travel, beyond certain income ranges.  Travel

forecasts have often been made based on population, income, or

vehicle registrations, but not often incoporating the combined

effects of varying auto and income levels at the same time.  Nor

have forecasts of VMT often been made directly from-estimates of

future socioeconomic levels in transportation studies.  It is felt,

however, that this is an important phase of the technical process

and could serve several valuable purposes.



                                    - 137 -







Click HERE for graphic.





                                    - 138 -



VMT is made-up of trips produced and their length.  By assuming an

overall average trip length for the study area (either known or

"borrowed" from another, and similar, area) and estimating area

wide VMT through a forecasting technique, an independent check on

trip generation (either base year or forecast year) is available

early in the forecasting process.  In addition, VMT can be derived

from trip lengths (in terms of miles "skimmed" off the base year or

forecast year network for each trip origin-destination pair) times

the number of trips between the respective origin and destination. 

Thus, two benchmarks are available (one as a forecast based on

socioeconomic data, and one resulting from alternative system

configurations) which will aid the analyst and decisionmaker in

dealing with policy considerations.  By varying either assumed trip

length or trip production, an estimate of the resultant regional

travel is available for alternative policy consideration.  A third

variable (auto ownership) is available when the auto ownership

model is used as described previously.



For application the income-auto ownership relationship would be

developed for the individual study area as described in the section

in the text on "Auto Ownership Model," using survey data or could

be "borrowed" from another area.  The 1970 census curves make an

excellent source for this model (see Appendix B for representative

curves).  A third alternative would be to use the relationship

shown in Figure 21 based on the Nationwide Personal Transportation

Study (1969-70).



Income could be forecast as outlined in Appendix A. Once a future

year projection of the income distribution is established it would

be divided into quintiles, each quintile representing 20 percent of

the households as shown in the figure below:





Click HERE for graphic.





                                   Figure 22



                                    -139 -



Median income values for each- quintile would be picked off the

distribution curve and used to enter the auto ownership model to

determine the percent households by auto ownership within each

income category.  The result would be a matrix similar to the one

below:





Click HERE for graphic.





                                  Figure  23



Total households in each cell would be obtained by multiplying the

percent households in each cell by the total households in each

quintile (20% of the total forecast households for the study area).



Ideally VMT/H.H. by auto ownership and income category developed

from individual transportation study data would be applied to the

household values obtained from the matrix in Figure 23.  As

mentioned previously, however, it is not likely that VMT per

household information will be available from individual

transportation study-home interview data for model development. 

Therefore, existing relationships from other sources could be

"borrowed" for the purpose of a rough overall travel estimate. 

Again, the NPTS offers such a source as seen in the following table

for average weekday VMT/HH (25, 28):



                              1969 Income ($000)

      Car

Ownership

           <3    3-4   4-5   5-6    6-7.5   7.5-10    10-15          15+

      1    14.3  16.3  20.7  125.0  26.4    26.4      29.0     32.9

      2    45.5  32.9  39.3  48.2   40.4    48.2      55.1     57.7

      3+   --    89.2  41.8  58.0   51.9    58.5      80.9     86.4



                                    - 140 -



Plotted, the relationships are seen in Figure 24.  While the income

categories will probably not be identical to those developed by

quintile previously (Figure 23), VMT/H.H. values can be read off

the curves in Figure 24 at the appropriate income values.





Click < HREF=images/TGA/TGA141.GIF>HERE for graphic.





FIGURE 24  VEHICLE MILES OF TRAVEL PER HOUSEHOLD BY INCOME AND CAR

           OWNERSHIP



                                    - 141 -











It is felt that VMT estimation by this procedure will provide the

analyst with an adequate tool to test the impact of alternative

assumptions of auto usage and economic levels at a regional scale. 

Additional detail and specification of relationships would have to

be introduced in order to apply this technique to any scale other

than an overall regional level.  Additional work along these lines

is planned by the Federal Highway Administration, and through

surveys being planned* or underway, additional information will be

available concerning the characteristics of household travel to add

to existing data.



The results of applying the VMT forecasting procedure as a national

travel estimating technique demonstrates the applicability of such

a tool (23).  The cross-classification procedure utilized the

latest national census projections of income distributions and the

basic income-auto ownership relationships (Figure 21) and travel

per household based on the NPTS.  The forecasting procedure

(assuming Series E population growth and 3.0 percent compound

annual income growth) applied to 1970 and 1990 resulted in a 2.5%

annual compound growth rate in vehicle miles of travel between

these two years.  This is compared to a "medium" growth rate (2.6%)

based on estimates of licensed drivers** and 2.4% annual growth

rate based on the aggregate of individual estimates from the States

for the Interstate Cost Estimate as modified (23).

___________________________



 *    For example a second nationwide travel survey is being

      considered for 1976-77 and the Annual Housing Survey sponsored

      by the U.S. Department of Housing and Urban Development will

      provide information on household trip lengths.



**    Highway Statistics Division, FHWA, June 1974.



                                    - 142 -











                                  APPENDIX D

                     FLOW CHARTS OF PRACTICAL APPLICATION

                              OF TRIP GENERATION



The following flow charts and their descriptions illustrate

the steps involved in the practical development and application of

trip generation-models.  Flow Chart I is the development of

household and trip data from an origin-destination survey.  Flow

Chart II is the application of these models using zonal forecasts

of social-economic data (obtained from land use models).



                                    - 143 -







                                   FIGURE 25

                               MODEL DEVELOPMENT



Click HERE for graphic.



                                    - 144 -



                                   FIGURE 26

                               MODEL APPLICATION



Click HERE for graphic.





                                    - 145 -



                                  REFERENCES





1.    Hansen, Dennis L.,

      Volume XV Travel Generation, National Association of County

      Engineers Action Guide Series, National Association of

      Counties Research Foundation, July 1972.



2.    Trip Generation by Land Use Part I, A Summary of Studies

      Conducted, Maricopa Association of Governments, Transportation

      and Planning Office, Urban Area of Maricopa County, Arizona,

      April 1974. (Limited number of copies available from FHWA,

      Urban Planning Division, Washington, D. C.



3.    Draper, N.R. and Smith, H.

      Applied Regression Analysis, John Wiley & Sons, Inc... 1966.



4.    An Introduction to Urban Development Models and Their Use in

      Urban Transportation Planning, Urban Development Branch,

      Federal Highway Administration, Draft Report.



5.    Adler, Thomas J., Bottom, John A.,

      Formulation of Travel Demand Modelling Requirements., Center

      for Transportation Studies and Transportation Systems

      Division, Department of Civil Engineering, Massachusetts

      Institute of Technology, November, 1973.



6.    "Urban Travel Demand Forecasting", Proceedings of a conference

      held at Williamsburg, Virginia, December 3-7, 1972, Special

      Report 143, Highway Research Board., 1973.



7.    Federal Highway Administration, FHWA Notice, "U.S. Census

      Bureau-Urban Transportation Planning Package", April 18, 1972.



8.    Hillegass, T.,

      Transit Travel Analysis in Smaller Urbanized Areas, Public

      Transportation Branch, Federal Highway Administration, March

      1973.



                                    - 147 -



9.    Chatterjee, Arun and Khasmabis, Snehamay,

      "Category Models-A Case for Factorial Analysis," Traffic

      Engineering Magazine, Institute of Traffic Engineers, October

      1973, pp. 29-33.



10.   Hansen, Walter G.,

      "Traffic Approaching Cities," Public Roads, Volume 31, No. 7,

      April 1961, pp. 155-158.



11.   Thomas, Edwin N., Horton, Frank E., and Dickey, John W.,

      Further Comments on the Analysis of Non-Residential

      Generation, Research Report, The Transportation Center at

      Northwestern University, November 1966.



12.   California Division of Highways, District 4, Seventh Progress

      Report on Trip Ends Generation Research Counts," 1971.



13.   Guidelines for Trip Generation Analysis, Urban Planning

      Division, Federal-Highway Administration, U.S. Department of

      Transportation, June 1967.



14.   FHWA Computer Programs for Urban Transportation Planning,

      Federal Highway Administration, U.S. Department of

      Transportation, July 1974, pp. 60-70.



15.   OBERS Projections, Economic Activity in the U.S.,

      U.S. Department of Commerce, Bureau of Economic Analysis, and

      U.S. Department of Agriculture,

      Economic Research Service for the U.S. Water Resources

      Council, Vol.  I-VII, Washington, D.C., 1972.



16.   Institute of Traffic Engineers Technical Committee, 6A6--"Trip

      Generation Rates, it On-going analysis to be completed in

      1975.



17.   "Area Economic Projections 1990," U.S. Department of Commerce,

      Social & Economic Statistics Administration, Bureau of

      Economic Analysis (no date).



18.   Donnelly, Elene, "Differential Income Growth in the United

      States, 1960-1969," Research and Applied Systems Section,

      Planning and Research Bureau, New York State Department of

      Transportation, May 1972.



                                    - 148 -



19.   Handbook of Labor Statistics, 1972 Bulletin 1735, U.S.

      Department of Labor, Bureau of Labor Statistics, 1972.



20.   Mathematical Modelling, Charlotte-Mecklenburg Urban Area

      Transportation Study, Planning and Research Department of the

      North Carolina Highway Commission, September 1972.



21.   Wichita Falls Urban Transportation Study, The Development and

      Application of Trip Generation and Distribution Models 1964-

      1990, Texas Highway Department Planning and Research Division,

      January 1974.



22.   Develop Travel Forecasting Model Techniques, Metropolitan

      Washington Council of Governments, National Capital Region

      Transportation Planning Board, July 1974.



23.   Highway Travel Forecasts, Federal Highway Administration,

      Washington, D.C., November 1974.



24.   Fleet, C.R., "Applications and Uses of the Census Urban

      Transportation Planning Package," Transportation Research

      Board Special Report No. 145, Washington, D.C., 1974.



25.   "Automobile Ownership," Report No. 11, Nationwide Personal

      Transportation Study, Federal Highway Administration,

      Washington, D.C., December 1974.



26.   The Immediate impact of Gasoline Shortages on Urban Travel

      Behavior, Federal Highway Administration,

      Washington, D.C., April 1975.



27.   Skinner, Louise E., The Effect of Energy Constraints on Travel

      Patterns, Gasoline Purchase Study, Federal Highway

      Administration, Washington, D.C., July 1975.



28.   Special tabulations based on the Nationwide Personal

      Transportation Study, for the Federal Highway Administration

      in 1969-70.



29.   Urban Origin-Destination Surveys, U.S. Department of

      Transportation, Federal Highway Administration,

      Washington, D.C. (no date).



                                    - 149 -



30.   A Review of Operational Urban Transportation Models,

      U.S. Department of Transportation, Federal Highway

      Administration, Washington, D.C., April 1973.



31.   Introduction to Urban Travel Demand Forecasting, Volume 1,

      Demand Modeling, Cambridge Systematics, Cambridge, March 1974,

      Can be obtained from NTIS, Springfield, Virginia, 22150, PB

      236848/AS.



32.   Ongoing work by the Planning Methodology and Technical Support

      Division, Office of Transit Planning, Urban Mass

      Transportation Administration, Washington, D.C.



- 150 -



U.S. GOVERNMENT PRINTING OFFICE: 1975 0 - 592-460




(368TGA.html)
Jump To Top