BTS Navigation Bar

NTL Menu


Summary of the 1994 NARC Geographic Information System (GIS) User Survey



Click HERE for graphic.

                           TABLE OF CONTENTS


INTRODUCTION . . . . . . . . . . . . . . . . . . . . . . . . . . . . 3

RESPONSE RATE. . . . . . . . . . . . . . . . . . . . . . . . . . . . 3

STATUS OF GIS USE (QUESTION 1) . . . . . . . . . . . . . . . . . . . 3

SOFTWARE/HARDWARE (QUESTION 2) . . . . . . . . . . . . . . . . . . . 5

DIGITAL DATA BASES (QUESTION 3). . . . . . . . . . . . . . . . . . . 7

GEOGRAPHIC REFERENCE SYSTEM (QUESTION 4) . . . . . . . . . . . . . . 9

FORMAL STANDARDS AND DATA DICTIONARIES
(QUESTIONS 5 AND 6). . . . . . . . . . . . . . . . . . . . . . . . . 9

AVAILABILITY OF DATA BASES TO OTHER AGENCIES
(QUESTION 7) . . . . . . . . . . . . . . . . . . . . . . . . . . . .10

APPENDICES:

     A: SURVEY QUESTIONNAIRE . . . . . . . . . . . . . . . . . . . .15
     B: RESPONDING AGENCIES - GIS CONTACTS . . . . . . . . . . . . .21
     C: RESPONDING AGENCIES - STATUS, HARDWARE/ 
        SOFTWARE, DATABASE MANAGEMENT SYSTEMS USED . . . . . . . . .33
     D: RESPONDING AGENCIES - GIS DATABASES. . . . . . . . . . . . .51

iii

                            LIST OF TABLES

Table 1   Status of GIS at Councils of Goverment . . . . . . . . . . 4
Table 2   Types of GIS Packages Used . . . . . . . . . . . . . . . . 5
Table 3   Data Base Manager Software Used With GIS . . . . . . . . . 6
Table 4   Types of Hardware Used for GIS . . . . . . . . . . . . . . 7
Table 5   Types of Data Bases Used or Maintained . . . . . . . . . . 8
Table 6   Locational Accuracy of Data Bases. . . . . . . . . . . . . 9
Table 7   Availability of Digital Data . . . . . . . . . . . . . . .10

v




SUMMARY OF THE 1994 NARC 
GEOGRAPHIC INFORMATION SYSTEM 
(GIS) USER SURVEY





                       SUMMARY OF THE 1994 NARC
GEOGRAPHIC INFORMATION SYSTEM (GIS)
USER SURVEY


INTRODUCTION

In January, a Geographic Information System (GIS) User Survey was sent
to 182 councils of governinent (COGs) on the National Association of
Regional Councils' (NARC) mailing list.  In subsequent months, two
follow-up mailings were made to non-responding agencies.  The survey
was an initial effort by NARC's GIS Technical Network to get a better
understanding of the use of GIS by COGs, and the types of data bases
being used and maintained.  The survey was not intended to provide a
complete description of each agency's GIS and their applications, but
was intentionally kept short to obtain a higher response rate and to
provide a general overview of GIS use by councils of government.  A
copy of the survey instrument can be found in Appendix A.

RESPONSE RATE

Following the initial January mailout of the survey to the 182
agencies, a total of 43 or 23.6 percent responded.  A second mailing
was sent to non-responding agencies in February, increasing the
response rate to 53.2 percent (97 agencies).  As part of NARC's effort
to establish a GIS Technical Network, a third mailing to non-
responding agencies was made in early March.  This final mailing
yielded an additional 18 responses, for a total of 114 agencies
responding to the survey, or a response rate of 62.6 percent.

A list of the responding agencies, with a GIS contact person's name
and address, is contained in Appendix B.

STATUS OF GIS USE (QUESTION 1)

Almost 60 percent of the COGs responding have had a GIS in operation
for more than one year, while over one-fifth of the COGs have had a
GIS in operation for more than three years.  Sixteen agencies (14
percent) responded that they were gathering information about GIS. 
Table I provides a breakdown of responses to Question 1: "Which of the
following best describes your agency regarding the use of a GIS?"


                                   3



                                Table I

                STATUS OF GIS AT COUNCILS OF GOVERNMENT

                                             # of           % of 
                                             Agencies       Total

Our functions don't require GIS                   0         0%
Haven't considered the need for a GIS             0         0%
Gathering information about GIS                   16        14%
Currently implementing a GIS                      23        20%
Have had a GIS in operation less than 1 year      7         6%
Have had a GIS in operation 1 to 3 years          43        38%
Have had a GIS in operation for more than 3 years 25        22%

TOTAL                                             114       100%


                                   4

SOFTWARE/HARDWARE (QUESTION 2)

Ninety-six agencies indicated that they used at least one GIS software
package.  Forty-four agencies listed two or more packages.  A total of
17 different packages were listed as in use.  The top three software
packages listed were: Arc/Info - PC Arc/Info (55 users), Atlas GIS (25
users), and MapInfo (18 users).  Table 2 provides a breakdown of the
number of users for each package.


                                Table 2

                      TYPES OF GIS PACKAGES USED

                                        # of Agencies  % of Agencies
                                        Using Software    Responding

     ArcCad                                   7              7%
     Arc/Info                                36             37%
     PC Arc/Info                             19             20%
     ArcView                                 12             12%
     Atlas GIS                               25             26%

     AutoCad                                  3              3%
     CAD - Intergraph                         1              1%
     CMap                                     3              3%
     Erdas                                    2              2%
     Geo/SQL - Generation 5                   1              1%

     GIS Plus                                 6              6%
     MapGraphix                               2              2%
     MapInfo                                 18             19%
     Strings                                  1              1%
     Transcad                                 2              2%

     Unisys                                   1              1%
     Ultimap                                  1              1%

     TOTAL                                   140*           144%*

*A total of 96 agencies responded, with some agencies using more than
one package.


                                   5

Fifty-eight agencies indicated that they were using at least one
Relational Data Base Management System (RDBMS) package in conjunction
with their GIS.  Eleven agencies listed two RDBMSs.  A total of 17
different RDBMS packages were listed, with various versions of DBase
listed by the most agencies (29 users).  Table 3 provides a breakdown
of the number of users for each package.

                                Table 3

               DATA BASE MANAGER SOFTWARE USED WITH GIS

                                   # of Agencies       % of Agencies
                                   Using Software      Responding

     Access                              1                   2%
     Alpha4                              2                   3%
     DBase                              29                  50%
     Empress                             1                   2%
     Excel                               1                   2%

     FilePro                             1                   2%
     FoxBase                             3                   5%
     FoxPlus                             2                   3%
     FoxPro                              4                   7%
     Info                                8                  14%

     Ingres                              3                   5%
     Oracle                              4                   7%
     Paradox                             6                  10%
     RBase                               1                   2%
     SAS                                 1                   2%

     Sybase                              1                   2%
     Ultimap RCDMS                       1                   2%

     TOTAL                              69*                 120%*


*A total of 58 agencies responded, with some agencies using more than
one package.


                                   6


Ten different general categories of hardware platforms were listed by
95 agencies responding.  Twenty-three agencies listed two different
platforms.  PCs were listed the most often (75 users), followed by SUN
workstations (27 users).  Table 4 provides a breakdown of listed
hardware platforms.

                                Table 4
                    TYPES OF HARDWARE USED FOR GIS

                                   # of Agencies       # of Agencies
                                   Using Hardware      Responding

     Apollo                              1                   1%
     Apple                               1                   1%
     Data General                        1                   1%
     HP 700 Series                       5                   5%
     IBM Risc 6000                       2                   2%
     MacIntosh                           1                   1%
     PC                                 75                  79%
     SUN                                27                  28%
     UNIX                                1                   1%
     Vax                                 4                   4%

     TOTAL                              118*                123%*

*A total of 95 agencies responded, with some agencies using more than
one hardware platform.


Appendix C provides a list of each of the responding agencies, their
GIS software, RDBMS listed, and hardware.

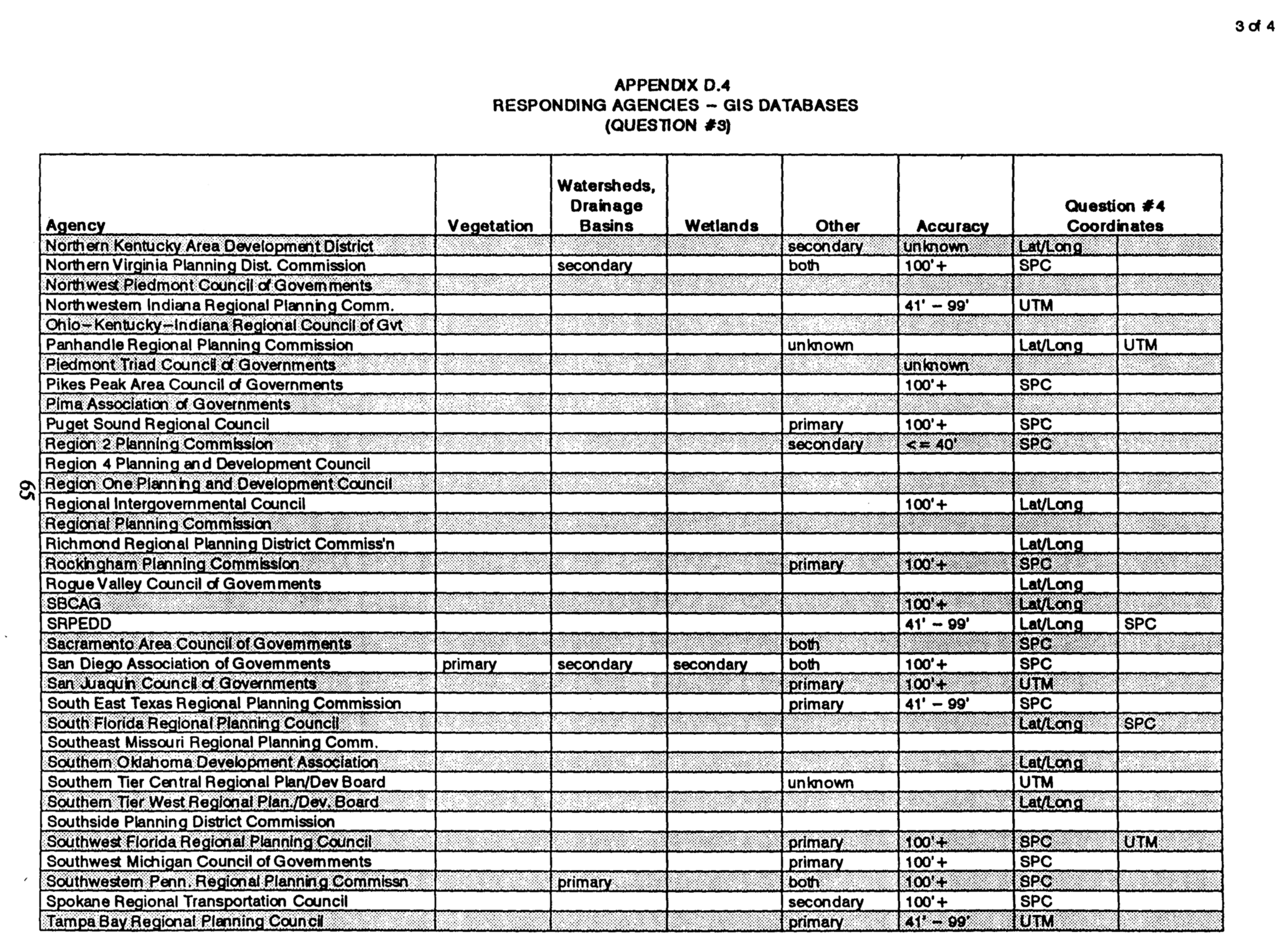
DIGITAL DATA BASES (QUESTION 3)

Of the 81 agencies responding, an average of just over nine data bases
were listed in response to Question 3, "Please complete the following
table for the digital data bases used and/or maintained by your
agency." Fifty percent of the agencies listed five or fewer data
bases.  The average number of data bases listed as primary and
secondary were the same, just over four per agency.  Just over 30
percent of the agencies responding indicated that they did not
maintain digital data bases created from primary data (data gathered
by their agency).  An equal number of agencies (14 percent) indicated
they maintained one or two digital data bases from primary source
data.  Thirty percent of the responding agencies indicated they used
one digital data base obtained from some other agency.  Another 18
percent indicated using two data bases from secondary sources.

                                   7

The data bases listed were catagorized into 25 different groups,
including a miscellaneous category.  Table 5 contains a list of the 25
categories of data bases, with the number of agencies indicating they
use or maintain digital data bases.  The table further indicates
whether the data bases are primary, secondary, both primary and
secondary, or the source was not specified.

                                Table 5

                TYPES OF DATA BASES USED OR MAINTAINED

                         Total # of                         Not
                         Agencies    Primary Secondary Both Specified
Activity Centers
 (hospitals, schools,  
 major employers, etc.)      7          4         2     0        1
Administrative, Political
 Planning Boundaries         43         13        14   12        4
Agriculture                   3          2         0    1        0
Aquifers                      6          1         4    0        1
Current Land Use              29        20         7    1        1

Floodplains                   15          6        6    0         3
Geodetic Control Points        5          1        3    0         1
Hazardous Waste Sites          5          2        1    0         2
Highways, Roads               40         15       19    2         4
Historic Sites                 4          1        3    0         0

Hudrology                     27          3       20    2          2
Parcels                        7          4        1    0          2
Planned Land Use, Zoning      24         17        4    0          3
Public Lands Ownership         3          2        0    1          0
Public Land Survey             5          1        3    0          1

Satellite Imagery              5          0        5    0          0
Slopes                         3          1        1    0          1
Soils                         17          1       12    0          4
TIGER, Census                 59          6       50    3          0
Topography, DEM                5          1        4    0          0

Utilities                      9          2        4    2          1
Vegetation                     4          1        0    2          1
Watersheds, Drainage Basins   15          6        6    1          2
Wetlands                       8          1        5    0          2
Miscellaneous                 52          16      14   15          7

Appendix D provides a list of each responding agency and the
categories of data bases they use and/or maintain.


8


Many of the agencies that listed multiple types of data bases used or
maintained also indicated varying measures of Vocational accuracy. 
Table 6 presents the number of agencies by general categories of the
accuracy of their data bases.  When more than one measure of accuracy
was given for multiple data bases, the predominant level of accuracy
is reported.  Most councils of government use and maintain 'regional
scale" digital data bases with locational accuracies of 100 feet or
more (47 percent).  Very few agencies indicated having data bases with
locational accuracies of less than ten feet.  Predominant accuracy
levels for each agency are provided in Appendix D.


                                Table 6

                   LOCATIONAL ACCURACY OF DATA BASES

                                        # of Agencies       % of Total

     Less than or equal to 40 feet            6                  10%
     41 to 99 feet                           15                  23%
     100 plus feet                           30                  47%
     Indicated Varies                         2                   3%
     Indicated Unknown                       11                  17%

     TOTAL                                   64                  100%


GEOGRAPHIC REFERENCE SYSTEM (QUESTION 4)

While most agencies used one reference system for their data bases, 17
of the 92 agencies responding to Question 4, "What geographic
reference system are you using?", indicated more than one system was
in use at their agency.  State Plane Coordinate systems were listed by
57 of the 92 agencies responding.  Thirty-six agencies use
latitude/Longitude, and sixteen agencies listed UTM.  Appendix D
contains the geographic reference system used by each agency.

FORMAL STANDARDS AND DATA DICTIONARIES (QUESTIONS 5 and 6)

Forty percent of the agencies indicated formal standards are used in
developing and maintaining their data bases.  Most agencies having
standards indicated they are willing to share their standards with
other agencies.  Over half (55 percent) of the responding agencies
indicated data dictionaries existed for their data bases.

9

AVAILABILITY OF DATA BASES TO OTHER AGENCIES (QUESTION 7)

A variety of responses were provided to Question 7, "How available
and/or accessible are the data bases to outside agencies?" Table 7
provides a breakdown of the responses to this question.  The most
often provided response was that their data were "public domain" (25
percent), followed by II percent of the agencies indicating their data
was free to other public agencies.


                                Table 7

                     AVAILABILITY OF DIGITAL DATA

                                                                 % of
                                             # of Responses      Total

     No charge                                          2         2%  
     Public domain                                     22        25%
     Free to members, charge others                    10        11%
     Free to other public agencies                      3         4%
     Fee for private clients                            1         1%

     No restrictions, cost for certain data bases       2         2%
     Few restrictions                                   5         6%
     Copy costs                                         3         4%
     Nominal charge                                     4         5%
     Cost recovery                                      8         9%

     Standard fee charged                               1         1%
     Cost to public agency, no policy for private       1         1%
     Depends on data base                               1         1%
     Depends on size and time required for request      1         1%
     Sold through non-profit corporation                1         1%

     Open to data exchange                              1         1%
     Not yet determined                                 8         9%
     Not available in digital form                      5         6%
     Refer to other agency                              3         4%
     Varies                                             5         6%

     TOTAL                                             87        100%


Appendix C shows the availability of data bases to outside agencies
for each agency responding to Question 7.


                                  10

APPENDICES

                              APPENDIX A

NARC GEOGRAPHIC INFORMATION SYSTEM USER SURVEY
January 1994


Agency:   __________________________________________________________

Address:  __________________________________________________________

          __________________________________________________________

GIS Contact Person: ________________________________________________

Title:              ________________________________________________

Department:         ________________________________________________

Phone:              (   )_______________        FAX:(   )___________

1.   WHICH OF THE FOLLOWING BEST DESCRIBES YOUR AGENCY REGARDING THE
     USE OF A GEOGRAPHIC INFORMATION SYSTEM (GIS)?

     a.   Our functions don't require a GIS (SKIP TO QUESTION 8)
     b.   Haven't considered the need for a GIS (SKIP TO QUESTION 8)
     c.   Gathering information about GIS (SKIP TO QUESTION 8)
     d.   Currently implementing a GIS
     e.   Have had a GIS in operation for less than a year
     f.   Have had a GIS in operation for 1 to 3 years
     g.   Have had a GIS in operation for more than 3 years


2.   IF YOU HAVE A GIS:

     a.   WHAT SOFTWARE ARE YOU USING? (ARC/INFO, INTEGRAPH, GIS PLUS,
          ETC.)
          ____________________________________________________________
          ____________________________________________________________

     b.   IF YOU ARE USING A RELATIONAL DATA BASE MANAGEMENT SYSTEM IN
          CONJUNCTION WITH YOUR GIS, WHICH ONE(S)? (INGRES, ORACLE,
          SYBASE, ETC.)
          ____________________________________________________________
          ____________________________________________________________

     c.   WHAT HARDWARE PLATFORMS) ARE YOU USING TO RUN YOUR GIS
          SOFTWARE?
          ____________________________________________________________
          ____________________________________________________________


                               - OVER -                    Page 1 of 3
15

Click HERE for graphic.

APPENDIX A


4.   WHAT GEOGRAPHIC REFERENCE SYSTEM ARE YOU USING?
     (LATITUDE/LONGITUDE, UTM, STATE PLANE CORDINATES, ETC.)

     _________________________________________________________________
     _________________________________________________________________

5.   ARE FORMAL STANDARDS USED IN DEVELOPING AND MAINTAINING THESE
     DATA BASES?
     _____Yes      ____No

6.   DO DATA DICTIONARIES EXIST FOR THESE DATA BASES?  ___Yes  ___No

7.   HOW AVAILABLE AND/OR ACCESSIBLE ARE THE DATA BASES TO OUTSIDE
     AGENCIES?  (PUBLIC DOMAIN, RESTRICTIONS ON TRANSFER OF DATA,
     PRICE OF THE DATA TO OUTSIDE AGENCIES, ETC.)
     _________________________________________________________________
     _________________________________________________________________
     _________________________________________________________________
     _________________________________________________________________

8.   PLEASE PROVIDE ANY COMMENTS CONCERNING THE OBJECTIVES OF THE
     FEDERAL GEOGRAPHIC DATA COMMITTEE'S (FGDC) FRAMEWORK WORKING
     GROUP.
     _________________________________________________________________
     _________________________________________________________________
     _________________________________________________________________
     _________________________________________________________________
     _________________________________________________________________
     _________________________________________________________________
     _________________________________________________________________

9.   WOULD YOU LIKE TO BE ON THE MAILING LIST FOR THE NARC NATIONAL
     TECHNICAL NETWORK ON GIS AND RECEIVE MONTHLY PROGRESS REPORTS ON
     THE FGDC FRAMEWORK WORKING GROUP? ____Yes    ____No

     THANK YOU FOR COMPLETING THIS SURVEY, YOUR COMMENTS ARE
     APPRECIATED.

                                                           Page 3 of 3




                                                           APPENDIEK B

                              APPENDIEK B

                  RESPONDING AGENCIES - GIS CONTACTS

Mr. David Kruse                         Ms. Elaine Wray
Alamo Am Council of Governments         Ark-Tex COG
118 Broadway Ste 400                    P 0 Box 5307
San Antonio, TX 78205                   Texarkana, TX 75505
210-225-5201                            903-832-8636

Mr. John Sharp                          Mr. Kent Anness
Assoc Of Central                        Bluegrass Area Dev Dist
Oklahoma Governments                    699 Perimeter Dr
Suite 200                               Lexington, KY 40517
6600 N Harvey PL                        606-269-8021
Oklahoma City, OK 73116
405-848-8961                            Ms. Teri Bell
                                        BCDCOG
Mr. Chuck Skaggs                        Suite 400
AMBAG                                   5290 Rivers Avenue
P 0 Box 838                             No Charleston, SC 29406
Marina, CA 93933-0838                   803-529-0400
408-883-3750
                                        Mr. Mark Kushner
Ms. Roni Gehring-Pratt                  Benton Franklin
Ada Planning Association                Regional Council
Suite 100                               P. O. Box 217
413 W Idaho Street                      Richland, WA 99352
Boise, ID 83702
208-345-5274                            Mr. Rakesh Sharma
                                        Bel O Mar Regional Council
Ms. Constance Blackmon                  P O Box 2086
Atlanta Regional Commission             Wheeling, WV 26003
200 Northcreek, Suite 300               304-242-1800
3715 Northside Parkway
Atlanta, GA 30327-2817                  Mr. Alfonso Casana
404-364-2520                            Barren River Area Dev District
                                        P O Box 90005
Mr. Paul Fisher                         Bowling Green, KY 42102-9005
ASCOG                                   502-781-2381
P 0 Box 1647
Duncan, OK 73534                        Mr. Jay Aguilar
405-252-0595                            Bear River Assoc Of Govts
                                        170 N Main Street
                                        Logan, UT 84321
                                        801-752-7242


                                  21





Mr. Steven Anes                         Mr. Bradley Birge
Bi-State Regional Commission            Capitol District Reg Plan Comm
P 0 Box 3368                            214 Canal Square
Rock Island, EL 61204-3368              Schenectady, NY 12305
309-793-6300                            518-393-1715

Ms. Laura Jefferson                     Ms. Dianne Wilson
Buffalo Trace Area Dev District         Coastal Georgia RDC
P 0 Box 460                             127 F Street
Maysville, KY 41056                     Brunswick, GA 31522
606-564-6894                            912-264-7363

Mr. Tom Wilkinson Jr                    Mr. Pat Mason
Brazos Valley Dev Council               CMPDD
P.O. Drawer 4128                        P.O. Box 4935
Bryan, TX 77805-4128                    Jackson, MS 39296-4935
409-775-4244                            601-981-1511

Mr. Joel Duke                           Ms. Alice Appleby
Central Alabama Regional                Central Midlands
Plan & Dev Comm                         Reg Plan Council
Third Floor                             236 Stoneridge Dr
125 Washington Ave                      Columbia, SC 29210
Montgomery, AL 36104                    803-771-0887
205-262-4300

                                        Mr. Thomas Wight
Mr. Bob Henderson                       Central New York Regional
Centralina Council Of Govts             Planning & Development Board
P 0 Box 35008                           Suite 122
Charlotte, NC 28235                     90 Presidential Plaza
704-372-2416                            Syracuse, NY 13202
                                        315-422-8276
Mr. Malcolm Baker
Central Connecticut RPA                 Ms. Barbara MacFarland
P 0 Box 1880                            Capitol Region Council of
                                        Govts
Bristol, CT 06011-1880                  221 Main St 4th Floor
203-589-7820                            Hartford, CT 06106-1864
                                        203-522-2217
Mr. Jay Appleton
Chittenden County Regional              Ms. Dianne Fischer
Planning Commission                     Catawba Regional Plan Council
P 0 Box 108                             P 0 Box 450
66 Pearl Street                         Rock Hill, SC 29731
Essex Junction, VT 05453                803-327-9041
802-658-3004

                                  22


Mr. Mike Vead                           Mr. Jeffrey Jones
Catawba Regional Plan Council           East Central Florida
P 0 Box 450                             Regional Plannning Council
Rock Hill, SC 29731                     1011 Wymore Rd., Ste. 105
803-327-9041                            Winter Park, FL 32789-1737
                                        407-623-1075
Mr. Bharat Dwa
Central Texas COG                       Mr. Warrren Sallade
P 0 Box 729                             East West Gateway
Belton, TX 76513                        911 Washington Street
817-939-1801                            St Louis, MO 63101
                                        314-421-4220
Ms. Tammy Brown
Cumberland Valley Area Dev Dist         Ms. Freida Black
P 0 Box 1740                            Fivco Area Dev Dist
London, KY 40741                        3000 Louisa Street
606-864-7391                            P 0 Box 636
                                        Catlettsburg, KY 41129
Mr. Bill Wagner                         606-739-5191
Cascades West COG
408 SW Monroe Avenue                    Ms. Monica Frederick
Corvallis, OR 97333                     Genesse/Finger I-akes
503-757-6851                            Regional Planning Council
                                        143 State Street
Mr. Aland Coons                         Rochester, NY 14614
Douglas County GIS                      716-546-5902
Room 210 Courthouse
1036 SE Douglas                         Ms. Annie Trauernicht
Roseburg, OR 97470                      Greater Nashville Reg. Council
503-440-4229                            7th Fl, Stahlman Bldg    
                                        211 Union Street
Mr. Randall Rutsch                      Nashville, TN 37201
Denver Regional COG                     615-862-8828
Suite 250-B
2480 W 26th Avenue                      Mr. Keith Harpole
Denver, CO 80211-5580                   Green River Area Dev District
303-480-6767                            3860 US 60 West
                                        Owensboro, KY 42301
Mr. Robert Monroe                       502-926-4433
East Alabama Regional Planning
And Development Commission              Ms. Jean Lang-Carroll
P 0 Box 2186                            Grand Valley Metro Council
Anniston, AL  36202                     Suite 500
205-237-6741                            2 Fountain Place NE
                                        Grand Rapid, MI 49503
                                        616-776-3876


                                  23

Mr. Max Sanifield                       Mr. Craig McCoy
Houston Galveston Area Council          Kisatchie-Delta Reg Plan
                                         District
3555 Timmons                            P 0 Box 12248
Houston, TX 77027                       Alexandria, LA 71315-2248
713-627-3200                            318-487-5454

Mr. David Hudson                        Ms. Annette Handshoe
Heart Of Texas COG                      Kentucky River Area Dev Dist
300 Franklin Avenue                     381 Perry Co Park Road
Waco, TX 76701-2244                     Hazard, KY 41701
817-756-7822                            606-436-3158

Ms. Lesley Keeling                      Mr. Dan Phillips
Heart Of Texas COG                      Kentuckiana Regional Planning
300 Franklin Avenue                     And Development Agency
Waco, TX 76701-2244                     11520 Commonwealth Drive
817-756-7822                            Louisville, KY 40299
                                        502-266-6084
Mr. Andrew Smialek II
Hampton Roads Planning District         Mr. James Roueche
The Regional Building                   KYOVA Interstate Plan Comm
723 Woodlake Dr                         P 0 Box 939
Chesapeake, VA 23320                    Huntington, WV 25701
804-420-8300                            304-523-7434

Mr. Dave Hannon                         Mr. Cress Bates
Housatonic Valley Council               Lane Council of Govts
Route 25                                125 E Eighth St
Old Town Hall                           Eugene, OR 97401
Brookfield, CT  06804                   503-687-4391
203-775-6256
                                        Mr. Bob Swank
Mr. Robert Penderass                    Lane Council of Govts
INCOG                                   125 E Eighth St
Suite 600                               Eugene, OR 97401
201 W 5th Street                        503-687-4435
Tulsa, OK 74103-4236
918-584-7526                            Mr. Glen Skinner
                                        LENOWISCO
Mr. Robert Ball                         Planning District Commission
Kern Council of Governments             P 0 Box 366
1401 19th Street Ste 200                Duffield, VA 24244
Bakersfield, CA 93301-4400              703-431-2206
805-861-2191

24


Mr. Charles St Clair                    Mr. Wayne Harris
Land of Sky Regional Council            Mid-Ohio Regioanl Plan Comm
25 Heritage Drive                       285 E Main Street
Asheville, NC 28806-1998                Columbus, OH 43215-5222
704-254-8131                            614-228-2663

Mr. Russell Mays                        Ms. Bonnie Prigge
Lincoln Trail Area Dev Dist             Meramec Regional Planning Comm
P 0 Box 604                             101 West 10th Street
Elizabethtown, KY 42702                 Rolla, MO 65401
502-769-2393                            314-364-2993

Ms. Rita Walton                         Mr. Doug Marvel
Maricopa Assoc of Govts                 Miami Valley Reg Plan Comm
1820 West Washington St                 400 Miami Valley Tower
Phoenix, AZ 85007-3208                  40 West 4th Street
                                        Daytona, OH 45402-1827
Mr. Douglas Carnahan                    513-223-6323
Metro.  Area Planning Council
60 Temple Place                         Mr. Bob Griffiths
Boston, MA 02111-1306                   Metro Washington COG
617-451-2770                            Ste 300
                                        777 North Capitol St, NE
Mr. Frank Lenk                          Washington, DC 20002-4226
Mid-America Regional Council            202-962-3280
300 Rivergate Center
600 Broadway                            Mr. Kevin Parrish
Kansas City, MO 64105-1536         No Central Florida Reg Plan Council
816-474-4240                            2009 NW 67th Place
                                        Gainesville, FL 32606
Mr. Robert Beckler                      904-955-2200
Merced Co. Assn. of Govts.
1770 M Street                           Mr. Bob O,Neal
Merced, CA 95340-4712                   North Central Texas COG
209-723-3153                            P O Box 5888
                                        Arlington, TX 76005-5888
                                        817-640-3300
Mr. Richard Bolen
Metro                                   Mr. Joseph Hadley Jr
600 NE Grand Ave                        Northeast Ohio Four County
Portland, OR 97232                      Reg Plan & Dev Org
                                        969 Copley Rd
Mr. Bobby Partridge                     Akron, OH 44320
Metroplan                               216-836-5731
Suite B
501 West Markham
Little Rock, AR 72201
501-372-3300


                                  25

Mr. Ken Heatherington                   Mr. Cheng-I Tsai
NE Florida Reg Plan Council             Ohio Kentucky Indiana
Suite 350                               Regional Council Of Govts
9143 Phillips Hwy                       Suite 400
Jacksonville, FL 32256                  801-B West 8th Street
904-363-6350                            Cincinnati, OH 45203
                                        513-621-7060
Ms. Rebecca Galarnbos
Northwestern Indiana Regional           Ms. Gail Kushner
Planning Commission Pima                Association Of Govts
6100 Southport Road                     177 N Church Ave Ste 405
Portage, IN 46368                       Tucson, AZ 85701
219-763-6060                            602-792-1093

Ms. Heidi Van Keuren                    Ms. Mary Frye
Northern Kentucky Area Dev Dist         Pikes Peak Area COG
16 Spiral Drive                         15 South 7th Street
P 0 Box 668                             Colorado Springs, CO 80905
Florence, KY 41022-0668                 719-471-7080
606-283-1885
                                        Mr. Sarwar Mansoor
Mr. Elery Keene                    Panhandle Regional Planning Comm
North Kenngbec Reg Plan Comm            P 0 Box 9257
7 Benton Avenue                         Amarillo, TX 79105-9257
Winslow, ME 04901                       806-372-3381
207-873-0711
                                        Mr. Jay Clark
Mr. Matt Marrs                          Puget Sound Regional Council
Nortex Reg Plan Comm                    216 First Ave S
P 0 Box 5144                            Seattle, WA 98104-2534
Wichita Falls, TX 76307
817-322-5281                            Mr. Paul Krou
                                        Piedmont Triad COG
Mr. William Vaughan                     Suite 201
Northern Virginia Plan Dist             2216 W Meadowview Rd
Suite 100 Greensboro,                   NC 27407-3401
7535 Little River Tpke                  910-294-4950
Annandale, VA 22003
703-642-0700                            Mr. David Cole
                                        Region I Plan & Dev Council
Mr. Matthew Dolge                       P 0 Box 1442
NW Piedmont Council Of Govts            Princeton, WV 24740
280 South Liberty St                    304-425-9508
Winston-Salem, NC 27101
910-722-9346

26





Mr. Scott Arnbs                         Mr. Ken Gebert
Region 2 Planning Comm                  SACOG
Floor 16                                3000 "S" Street, Ste 300
120 W Michigan                          Sacramento, CA 95816-7055
Jackson, MI 49201                       916-457-2264
517-788-4426
                                        Mr. Steve Kunkel
Mr. W D Smith                           SANDAG
Region 4 Plan & Dev Council             Mail Station 980
500 B Main Street                       401 B St Ste 800
Summersville, WV 26651                  San Diego, CA 92101-4287
304-872-4970                            619-595-5318

Mr. Chris Callahan                      Mr. Brian Bresdin
Regional Intergovernmental Council      SBCAG
511 Centml Avenue                       222 E Anapamu Street
Charleston, W 25302                     Santa Barbara, CA 93108
304-345-8191                            805-568-2945

Ms. Elaine Wilkinson                    Mr. Mike Powers
Regional Planning Commission            SBCAG
333 St. Charles Ave #1100               222 E Anapamu Street
New Orleans, LA 70130-3122              Santa Barbara, CA 93108
504-568-6611
                                        Mr. Don Belanger
Mr. David Ahnert                        Southeast Michigan
Rockingham Planning Commission          Council Of Governments
121 Water Street                        Suite 1900
Exefer, NH 03833                        660 Plaza Drive
603-778-0885                            Detroit, NH 48226
                                        313-961-4266
Ms. Jo Alice Evans
Richmond Regional                       Mr. Dan Roberts
Planning Dist Comm                 Southeast Texas Reg Plan Commission
Suite 101                               P 0 Drawer 1387
2104 W Leburnum Ave                     Nederland, TX 77627
Richmond, VA 23229                      409-724-1911
804-358-3684
                                        Mr. Manuel Cela
Mr. Arnold Waters                       South Florida Reg Plan Council
Rogue Valley COG                        Suite 140
155 S Second St                         3440 Hollywood Blvd
Central Point, OR  97502                Hollywood, FL 33021
503-664-6674                            305-961-2999


                                  27





Mr. Peter Williams                      Mr. Eric Johnson
San Joaquin COG                         Spokane Regional Trans Council
4th Floor                               Room 627
102 S San Joaquin Street                808 W Spokane Falls Blvd
Stockton, CA 95201-1010                 Spokane 9 WA 99201-3333
209-468-3913                            509-625-6370

Mr. Stan Balsman                        Ms. Jennifer Fais
Southeast Missouri Reg                  Southern Tier Central Regional
Planning Commission                     Planning & Development Board
P 0 Box 366                             145 Village Square
Perryville, MO 63775                    Painted Post, NY 14870
314-547-8357                            607-962-5092

Mr. Thomas Tucker                       Mr. Ronald Southard
Southeast Missouri Reg                  Southern Tier West Regional
Planning Commission                     Planning & Development Bd
1 West St Joseph Street                 465 Broad Street
Perryville, MO 63775                    Salamanca, NY 14779
314-547-8357                            716-945-5301

Mr. Suresh Narayanan                    Mr. Hunter Wynne
Southern Oklahoma Dev Association       South-West Florida
15 1st Avenue SE                        Regional Planning Council
P 0 Box 848                             P 0 Box 3455
Ardmore, OK 73402                       North Ft Myers, FL 33918-3455
405-226-2250                            813-995-4282

Ms. Carol Corker                        Ms. Bettina Varner
Southside Planning District Comm        TARCOG
P 0 Box 150                             Suite A
South Hill, VA 23970                    115 Washington St SE
804-447-7101                            Huntsville, AL 35801-4883
                                        205-533-3330
Mr. Wade Fox
Southwestern Penn Reg Plan Comm         Mr. Marshall Flynn
The Waterfront                          Tampa Bay Reg Plan Council
200 First Ave                           9455 Koger Blvd
Pittsburgh, PA 15222-1573               St Petersburg, FL 33702
412-391-5590 x 312                      813-577-5151

Mr. Paul Mission                        Mr. William Balsley
SRPEDD                                  Tulare County
88 Broadway                             Planning And Development Dept
Taunton, MA 02780                       County Civic Center
508-824-1367                            Room III Courthouse
                                        Visalia, CA 93291-4593
                                        209-733-6168

28

Mr. Craig Anderson                      Ms. Faith Hege
Tri-County Reg. PIn. Comm.              Western Piedmont COG
913 W Holmes Ste 201                    317 First Ave NW
Lansing, MI 48910                       Hickory, NC 28601
517-393-0342                            704-322-9191

Mr. Robert Wood
Texoma Council Of Govts
10000 Grayson Dr
Denison, TX 75020
903-786-2955

Mr. David Read
Thurston Reg Plan Council
Suite B
2404 Heritage Ct SW
Olympia, WA 98502
206-754-4996

Mr. Andy Miller
Upper Savannah COG
P 0 Box 1366
Greenwood, SC 29648
803-941-8050

Ms. Heather Gruber
West Alabama Plan & Dev Council
Suite 1
4200 Highway 59 North
Northport, AL 35476
205-333-2990

Mr. Mark Teuscher
Wasatch Front Regional Council
Suite 200
420 West 1500 South
Bountiful, UT 84010
801-299-5712

Mr. Bryan Gillett
West Michigan Shoreline
Regional Development Commission
P 0 Box 387
Muskegon, MI 49443-0387
616-722-7878


                                  29



APPENDIX C





APPENDIX D


Click HERE for graphic.

Click HERE for graphic.

Click HERE for graphic.

Click HERE for graphic.

Click HERE for graphic.

Click HERE for graphic.

Click HERE for graphic.

Click HERE for graphic.

Click HERE for graphic.

Click HERE for graphic.

Click HERE for graphic.

Click HERE for graphic.

Click HERE for graphic.

Click HERE for graphic.

                                                            APPENDIX D

Click HERE for graphic.

Click HERE for graphic.

Click HERE for graphic.

Click HERE for graphic.

Click HERE for graphic.

Click HERE for graphic.

Click HERE for graphic.

Click HERE for graphic.

Click HERE for graphic.

Click HERE for graphic.

Click HERE for graphic.

Click HERE for graphic.

Click HERE for graphic.

Click HERE for graphic.

Click HERE for graphic.
.

(NARC.html)
Jump To Top